Tu dois chercher un motif de répétition dans la fonction. Pour cela, tu peux identifier le point où la fonction commence à se répéter. La distance en x entre deux points consécutifs qui se répètent sera la période de la fonction.
Par exemple, le point (-3, 0) se répète à (-1, 0). La période de cette fonction est donc de 2, puisque x=3 et x=-1 ont une distance de 2 unités.
Ce contenu est protégé par le droit d'auteur. Toute reproduction à l'extérieur des forums Alloprof est interdite et pourra être considérée comme une violation du droit d'auteur.
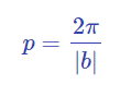
Si tu as une fonction sinus, cosinus ou tangente et que tu connais sa règle, tu peux trouver sa période à l'aide du paramètre b :
Ce contenu est protégé par le droit d'auteur. Toute reproduction à l'extérieur des forums Alloprof est interdite et pourra être considérée comme une violation du droit d'auteur.
Explanation from Alloprof
This Explanation was submitted by a member of the Alloprof team.
Salut!
Tu dois chercher un motif de répétition dans la fonction. Pour cela, tu peux identifier le point où la fonction commence à se répéter. La distance en x entre deux points consécutifs qui se répètent sera la période de la fonction.
Par exemple, le point (-3, 0) se répète à (-1, 0). La période de cette fonction est donc de 2, puisque x=3 et x=-1 ont une distance de 2 unités.
Ce contenu est protégé par le droit d'auteur. Toute reproduction à l'extérieur des forums Alloprof est interdite et pourra être considérée comme une violation du droit d'auteur.
Si tu as une fonction sinus, cosinus ou tangente et que tu connais sa règle, tu peux trouver sa période à l'aide du paramètre b :
Ce contenu est protégé par le droit d'auteur. Toute reproduction à l'extérieur des forums Alloprof est interdite et pourra être considérée comme une violation du droit d'auteur.
Voici une fiche sur cette notion qui pourrait t'être utile : Les fonctions périodiques | Secondaire | Alloprof
Si tu as d'autres questions, n'hésite pas à nous réécrire! :)