Ce contenu est protégé par le droit d'auteur. Toute reproduction à l'extérieur des forums Alloprof est interdite et pourra être considérée comme une violation du droit d'auteur.
Je n'ai jamais compris comment résoudre ce genre de problème. Que faut il faire?
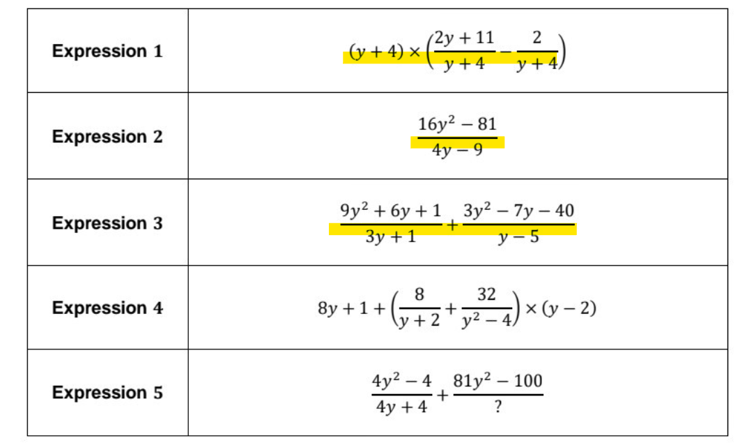
Lorsque tu as des problèmes comme celui-ci, tu dois commencer par déterminer la régularité, la suite logique entre chaque expression consécutive.
Pour cela, tu dois commencer par réduire chacune des expressions algébriques. Tu peux commencer par réduire les trois premières, et tu constateras tout de suite quelque chose avec les résultats obtenus. Tu peux réduire la quatrième expression aussi pour confirmer ton hypothèse.
Ce contenu est protégé par le droit d'auteur. Toute reproduction à l'extérieur des forums Alloprof est interdite et pourra être considérée comme une violation du droit d'auteur.
Avec cette hypothèse, tu pourras déterminer l'expression algébrique réduite attendue pour l'expression 5. Par exemple, tu pourrais t'attendre à obtenir 10y+5 pour l'expression 5. Il ne te restera alors plus qu'à poser une équation entre l'expression réduite attendue et l'expression développée que tu as en ce moment pour trouver le dénominateur recherché, comme ceci (en gardant l'exemple du 10y+5 comme résultat attendu) :
Explanation from Alloprof
This Explanation was submitted by a member of the Alloprof team.
Salut!
Lorsque tu as des problèmes comme celui-ci, tu dois commencer par déterminer la régularité, la suite logique entre chaque expression consécutive.
Pour cela, tu dois commencer par réduire chacune des expressions algébriques. Tu peux commencer par réduire les trois premières, et tu constateras tout de suite quelque chose avec les résultats obtenus. Tu peux réduire la quatrième expression aussi pour confirmer ton hypothèse.
Ce contenu est protégé par le droit d'auteur. Toute reproduction à l'extérieur des forums Alloprof est interdite et pourra être considérée comme une violation du droit d'auteur.
Avec cette hypothèse, tu pourras déterminer l'expression algébrique réduite attendue pour l'expression 5. Par exemple, tu pourrais t'attendre à obtenir 10y+5 pour l'expression 5. Il ne te restera alors plus qu'à poser une équation entre l'expression réduite attendue et l'expression développée que tu as en ce moment pour trouver le dénominateur recherché, comme ceci (en gardant l'exemple du 10y+5 comme résultat attendu) :
$$ \frac{4y^2-4}{4y+4}+\frac{81y^2-100}{x}=10y+5$$
Tu devras alors isoler x afin d'obtenir l'expression algébrique qui devra être au dénominateur de la seconde fraction de l'expression 5.
En résumé, tu dois :
J'espère que c'est plus clair pour toi! :)