Skip to content

Help Zone

Student Question

Secondary IV • 9mo.
  1. Une fille lance un caillou dans un puits profond à 4,0 m/s [bas]. Le caillou frappe l’eau 2,0 secondes plus tard.
  2. À quelle profondeur se trouve la surface de l’eau du puits?
  3. Quelle est la vitesse vectorielle moyenne du caillou?
  4. Combien de temps après avoir été lancé faut-il au caillou pour acquérir la vitesse trouvée en b?
  5. Quelle est la vitesse vectorielle du caillou lorsqu’il frappe l’eau?


Physics
avatar
avatar

{t c="richEditor.description.title"} {t c="richEditor.description.paragraphMenu"} {t c="richEditor.description.inlineMenu"} {t c="richEditor.description.embed"}

Explanations (1)

  • Explanation from Alloprof

    Explanation from Alloprof

    This Explanation was submitted by a member of the Alloprof team.

    Options
    Team Alloprof • 9mo. edited January 21

    Salut!


    Le caillou est en chute libre. En d'autres mots, l'objet est dans les airs et ne subit aucune autre force autre que celle de la gravité.

    Ainsi, l'accélération du caillou est constante, elle correspond à l'accélération gravitationnelle. Donc, l'objet effectue un mouvement uniformément accéléré (MRUA).

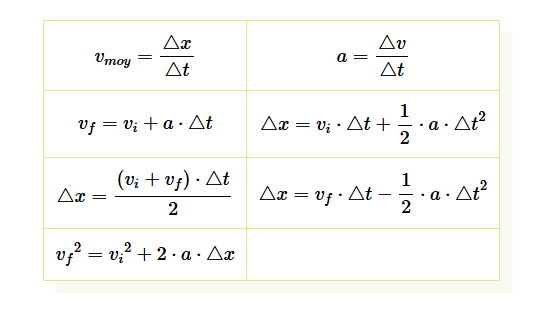
    On peut donc utiliser les équations associées aux MRUA :

    image.png


    On connait la vitesse initiale (\(v_{i}=4,0m/s\)), l'accélération (\(a=9,8m/s^2\)), et la variation de temps (Δt=2 s). On cherche la profondeur, donc la distance parcourue Δy. Quelle équation fait intervenir ces variables? Je te laisse la trouver :)


    Si tu as d'autres questions, n'hésite pas!

Ask a question