Ce contenu est protégé par le droit d'auteur. Toute reproduction à l'extérieur des forums Alloprof est interdite et pourra être considérée comme une violation du droit d'auteur.
Ce contenu est protégé par le droit d'auteur. Toute reproduction à l'extérieur des forums Alloprof est interdite et pourra être considérée comme une violation du droit d'auteur.
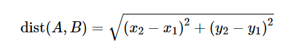
Pour trouver cette largeur, tu dois calculer la distance entre les deux points à l'aide de cette formule :
Ce contenu est protégé par le droit d'auteur. Toute reproduction à l'extérieur des forums Alloprof est interdite et pourra être considérée comme une violation du droit d'auteur.
Ainsi, tu devras d'abord trouver les coordonnées de ces deux points. Pour cela, tu dois trouver la règle de la parabole, puis calculer x pour y=4.
Pour trouver la règle de la parabole, tu peux te servir des deux zéros et du sommet :
Ce contenu est protégé par le droit d'auteur. Toute reproduction à l'extérieur des forums Alloprof est interdite et pourra être considérée comme une violation du droit d'auteur.
Explanation from Alloprof
This Explanation was submitted by a member of the Alloprof team.
Salut!
On cherche la largeur suivante :
Ce contenu est protégé par le droit d'auteur. Toute reproduction à l'extérieur des forums Alloprof est interdite et pourra être considérée comme une violation du droit d'auteur.
Pour trouver cette largeur, tu dois calculer la distance entre les deux points à l'aide de cette formule :
Ce contenu est protégé par le droit d'auteur. Toute reproduction à l'extérieur des forums Alloprof est interdite et pourra être considérée comme une violation du droit d'auteur.
Consulte cette fiche au besoin : La distance entre 2 points | Alloprof
Ainsi, tu devras d'abord trouver les coordonnées de ces deux points. Pour cela, tu dois trouver la règle de la parabole, puis calculer x pour y=4.
Pour trouver la règle de la parabole, tu peux te servir des deux zéros et du sommet :
Ce contenu est protégé par le droit d'auteur. Toute reproduction à l'extérieur des forums Alloprof est interdite et pourra être considérée comme une violation du droit d'auteur.
Voici une fiche sur cette notion qui pourrait t'être utile pour trouver la règle de la fonction, elle présente plusieurs exemples similaires à ton exercice : Trouver la règle d'une fonction polynomiale de degré 2 | Secondaire | Alloprof
Je te laisse essayer avec ces indices. Si tu as d'autres questions, n'hésite pas à nous réécrire! :)