Secondaire 5 • 9m
Bonsoir!
J'avais une grande confusion par rapoort à un des lois liés à la résolution des équations logarithmiques; la-voici:
Dans le cas suivant, je ne comprends pas pourquoi est-ce que l'ajout de 3 annule la partie log et sa base, 3. Est-ce que vous pouvez svp me le démontrer mathématiquement et c'est quoi la logique derrière cet effet d'annuler?
Aussi, je ne comprends pas d'où est-ce qu'on sort le 3 comme base dans cette équation-là qui était au départ seulement composée de l'écriture en bleu...
Svp je me bloque tout le temps dans les exercices, aidez-moi :_(
Merci :D

Explication vérifiée par Alloprof
Cette explication a été vérifiée par un membre de l’équipe d’Alloprof.
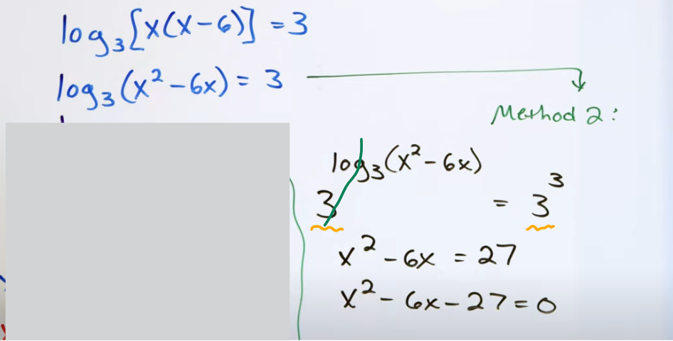
C'est la définition du logarithme.
Le logarithme en base 3 de (x²-6x) est l'exposant qu'il faut donner à 3 pour avoir (x²-6x)
puisque log3 (x²-6x) = 3
donc si on met l'égalité en base 3
on a 3^(log3 (x²-6x)) = 3^3
x²-6x = 27
car 3^(log3 (x²-6x)) = (x²-6x) par définition
Ce contenu est protégé par le droit d'auteur. Toute reproduction à l'extérieur des forums Alloprof est interdite et pourra être considérée comme une violation du droit d'auteur.
https://www.alloprof.qc.ca/fr/eleves/bv/mathematiques/les-logarithmes-m1358
Suggestions en lien avec la question
Suggestion en lien avec la question
Voici ce qui a été trouvé automatiquement sur le site, en espérant que ça t’aide!