Pouvez -vous me donner la preuve de cette equation mathématiques ?
Ce contenu est protégé par le droit d'auteur. Toute reproduction à l'extérieur des forums Alloprof est interdite et pourra être considérée comme une violation du droit d'auteur.
est égal à :
Ce contenu est protégé par le droit d'auteur. Toute reproduction à l'extérieur des forums Alloprof est interdite et pourra être considérée comme une violation du droit d'auteur.
Ce contenu est protégé par le droit d'auteur. Toute reproduction à l'extérieur des forums Alloprof est interdite et pourra être considérée comme une violation du droit d'auteur.
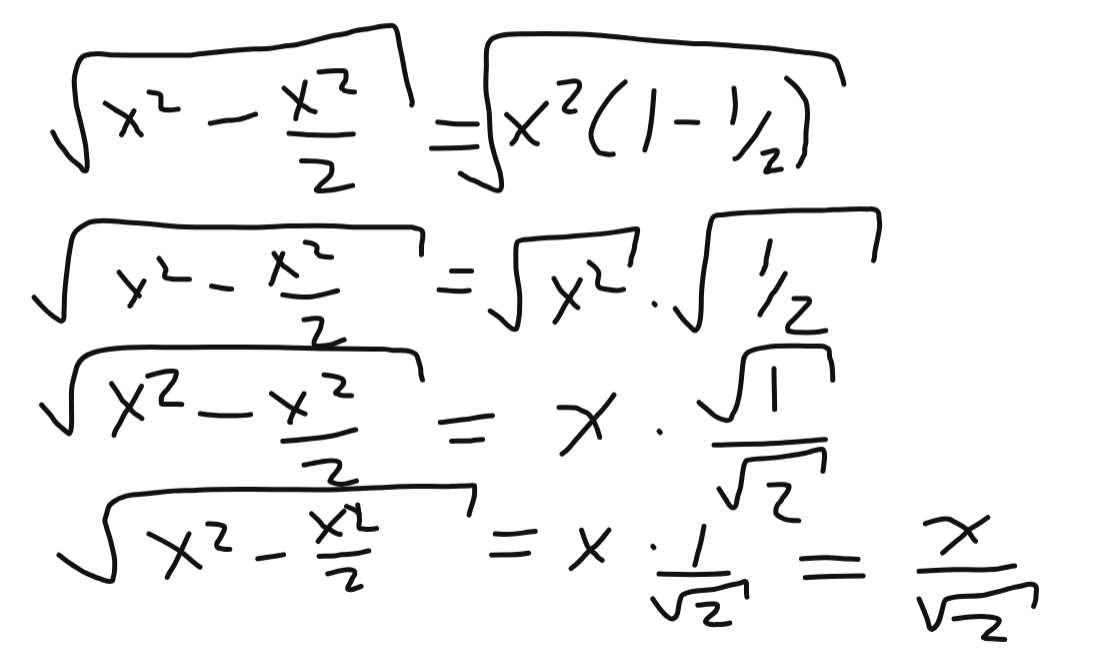
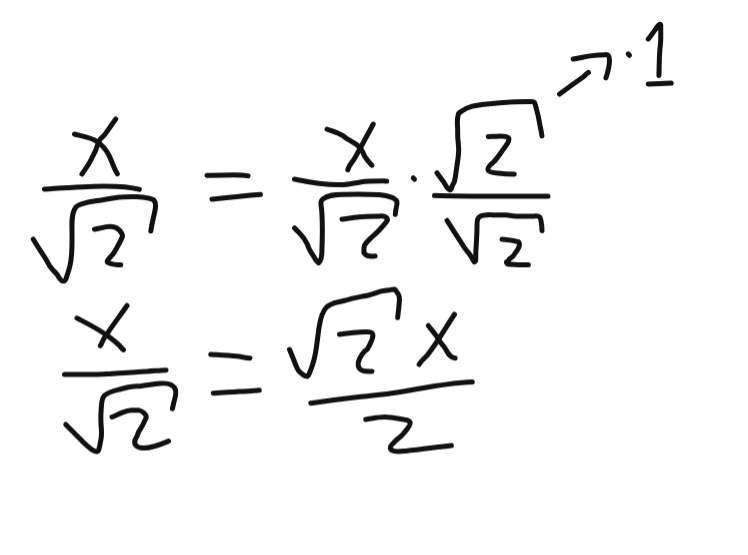
Ensuite, en rationalisant la fraction, on peut arriver à ce que tu cherches, mais ce ne serait pas racine de 3, mais plutôt racine de 2.
Ce contenu est protégé par le droit d'auteur. Toute reproduction à l'extérieur des forums Alloprof est interdite et pourra être considérée comme une violation du droit d'auteur.
Note que le x pourrait être positif ou négatif ici pour respecter l'équation, en d'autres mots, c'est valeur absolue de x, à cause qu'on a enlever une racine à un moment de la résolution.
On l'écrirait comme ceci :
Ce contenu est protégé par le droit d'auteur. Toute reproduction à l'extérieur des forums Alloprof est interdite et pourra être considérée comme une violation du droit d'auteur.
Tu peux en apprendre plus sur la rationalisation d'une fraction ici.
Explication d'Alloprof
Cette explication a été donnée par un membre de l'équipe d'Alloprof.
Salut à toi brave moussaillon! 😁
Ça nous fait plaisir que tu utilises Alloprof!
Voici à quelle simplification on peut arriver.
Ce contenu est protégé par le droit d'auteur. Toute reproduction à l'extérieur des forums Alloprof est interdite et pourra être considérée comme une violation du droit d'auteur.
Ensuite, en rationalisant la fraction, on peut arriver à ce que tu cherches, mais ce ne serait pas racine de 3, mais plutôt racine de 2.
Ce contenu est protégé par le droit d'auteur. Toute reproduction à l'extérieur des forums Alloprof est interdite et pourra être considérée comme une violation du droit d'auteur.
Note que le x pourrait être positif ou négatif ici pour respecter l'équation, en d'autres mots, c'est valeur absolue de x, à cause qu'on a enlever une racine à un moment de la résolution.
On l'écrirait comme ceci :
Ce contenu est protégé par le droit d'auteur. Toute reproduction à l'extérieur des forums Alloprof est interdite et pourra être considérée comme une violation du droit d'auteur.
Tu peux en apprendre plus sur la rationalisation d'une fraction ici.
Écris-nous si tu as d'autres questions. 😊
À bientôt sur la Zone d'entraide! 😎
Suggestions en lien avec la question
Suggestion en lien avec la question
Voici ce qui a été trouvé automatiquement sur le site, en espérant que ça t’aide!