L'équation que tu viens de donner est une équation polynomiale de degré 2. Pour la résoudre, il faut d'abord la mettre sous la forme ax^2+bx+c=0. Dans ton cas ce serait 3x^2+2x-50=0.
Tu pourras ensuite utiliser la formule quadratique:
Ce contenu est protégé par le droit d'auteur. Toute reproduction à l'extérieur des forums Alloprof est interdite et pourra être considérée comme une violation du droit d'auteur.
Cela te donnera deux solutions:
Ce contenu est protégé par le droit d'auteur. Toute reproduction à l'extérieur des forums Alloprof est interdite et pourra être considérée comme une violation du droit d'auteur.
Explication d'Alloprof
Cette explication a été donnée par un membre de l'équipe d'Alloprof.
Bonjour LuneAlpha5937,
Merci pour ta question :)
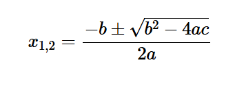
L'équation que tu viens de donner est une équation polynomiale de degré 2. Pour la résoudre, il faut d'abord la mettre sous la forme ax^2+bx+c=0. Dans ton cas ce serait 3x^2+2x-50=0.
Tu pourras ensuite utiliser la formule quadratique:
Ce contenu est protégé par le droit d'auteur. Toute reproduction à l'extérieur des forums Alloprof est interdite et pourra être considérée comme une violation du droit d'auteur.
Cela te donnera deux solutions:
Ce contenu est protégé par le droit d'auteur. Toute reproduction à l'extérieur des forums Alloprof est interdite et pourra être considérée comme une violation du droit d'auteur.
Pour voir des exemples de résolution d'équations polynomiales de degré 2, je t'invite à consulter la page suivante: https://www.alloprof.qc.ca/fr/eleves/bv/mathematiques/la-formule-quadratique-m1134
N'hésite pas si tu as d'autres questions :)
Sandrine
Suggestions en lien avec la question
Suggestion en lien avec la question
Voici ce qui a été trouvé automatiquement sur le site, en espérant que ça t’aide!