Secondaire 3 • 2m
Je n'arrive pas à simplifier cette équation algébrique. La réponse que j'ai est : 5x^2 - 1xy + 44x - 27. Ce n'est pas la bonne réponse, car dans mon exercice ça dit que je l'ai mal. Pouvez-vous m'aider svp?

Explication vérifiée par Alloprof
Cette explication a été vérifiée par un membre de l’équipe d’Alloprof.
Il y a plusieurs termes, c'est facile de se tromper quelque part.
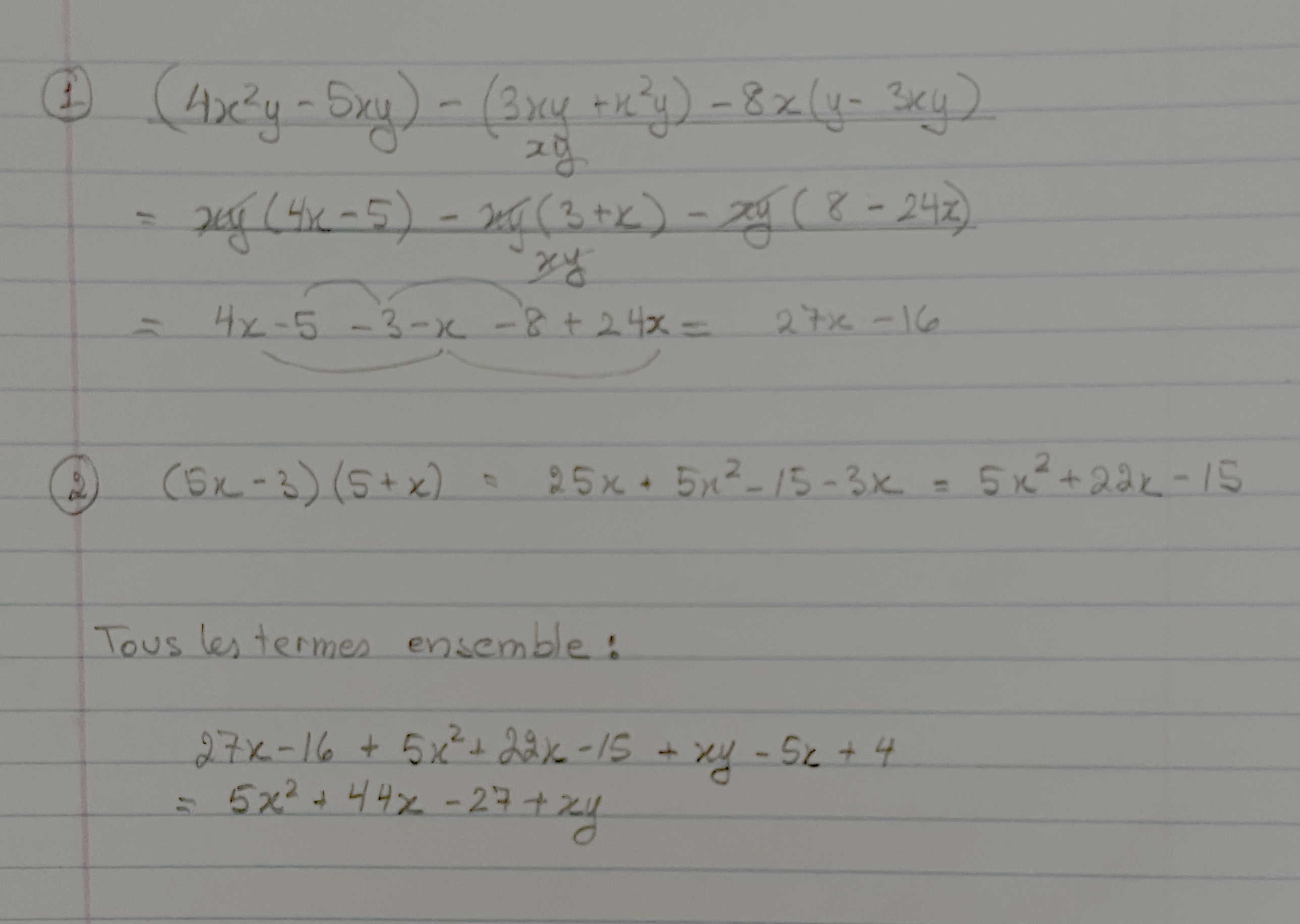
Voici ce que j'obtiens, c'est très proche:
5x² + xy + 44x - 27
Ce contenu est protégé par le droit d'auteur. Toute reproduction à l'extérieur des forums Alloprof est interdite et pourra être considérée comme une violation du droit d'auteur.
Suggestions en lien avec la question
Suggestion en lien avec la question
Voici ce qui a été trouvé automatiquement sur le site, en espérant que ça t’aide!