Ce contenu est protégé par le droit d'auteur. Toute reproduction à l'extérieur des forums Alloprof est interdite et pourra être considérée comme une violation du droit d'auteur.
Voyons un exemple de division d'une expression algébrique par un binôme.
Ce contenu est protégé par le droit d'auteur. Toute reproduction à l'extérieur des forums Alloprof est interdite et pourra être considérée comme une violation du droit d'auteur.
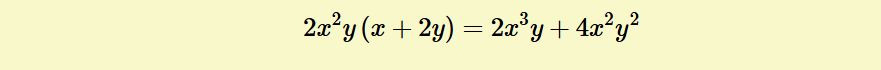
1) Ordonner les polynômes
En ordonnant les polynômes, on obtient la division suivante.
Ce contenu est protégé par le droit d'auteur. Toute reproduction à l'extérieur des forums Alloprof est interdite et pourra être considérée comme une violation du droit d'auteur.
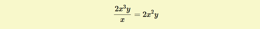
2)Diviser les premiers termes du dividende et du diviseur
Ce contenu est protégé par le droit d'auteur. Toute reproduction à l'extérieur des forums Alloprof est interdite et pourra être considérée comme une violation du droit d'auteur.
3) Écrire le résultat sous le diviseur
Ce contenu est protégé par le droit d'auteur. Toute reproduction à l'extérieur des forums Alloprof est interdite et pourra être considérée comme une violation du droit d'auteur.
4) Multiplier le résultat par chacun des termes du diviseur
Ce contenu est protégé par le droit d'auteur. Toute reproduction à l'extérieur des forums Alloprof est interdite et pourra être considérée comme une violation du droit d'auteur.
5) Faire la différence entre le dividende et l'expression algébrique obtenue
Ce contenu est protégé par le droit d'auteur. Toute reproduction à l'extérieur des forums Alloprof est interdite et pourra être considérée comme une violation du droit d'auteur.
6) Abaisser les termes restants du dividende
Ce contenu est protégé par le droit d'auteur. Toute reproduction à l'extérieur des forums Alloprof est interdite et pourra être considérée comme une violation du droit d'auteur.
7)Répéter les étapes 2) à 6)
Ce contenu est protégé par le droit d'auteur. Toute reproduction à l'extérieur des forums Alloprof est interdite et pourra être considérée comme une violation du droit d'auteur.
Bonjour GryposaureFiable490,
Voici 2 vidéo de division d'une expression algébrique par un binôme, une avec reste et une sans reste en espérant que ça vous aide.
https://youtu.be/pwd8cbvv82w?si=e5XSIBThYfTfEU3a
https://youtu.be/yRqJPCTGs9M?si=TuSkmMzH5X_34s5f
Explication d'Alloprof
Cette explication a été donnée par un membre de l'équipe d'Alloprof.
Bonsoir, GryposaureFiable490!
Voyons un exemple de division d'une expression algébrique par un binôme.
Ce contenu est protégé par le droit d'auteur. Toute reproduction à l'extérieur des forums Alloprof est interdite et pourra être considérée comme une violation du droit d'auteur.
1) Ordonner les polynômes
En ordonnant les polynômes, on obtient la division suivante.
Ce contenu est protégé par le droit d'auteur. Toute reproduction à l'extérieur des forums Alloprof est interdite et pourra être considérée comme une violation du droit d'auteur.
2) Diviser les premiers termes du dividende et du diviseur
Ce contenu est protégé par le droit d'auteur. Toute reproduction à l'extérieur des forums Alloprof est interdite et pourra être considérée comme une violation du droit d'auteur.
3) Écrire le résultat sous le diviseur
Ce contenu est protégé par le droit d'auteur. Toute reproduction à l'extérieur des forums Alloprof est interdite et pourra être considérée comme une violation du droit d'auteur.
4) Multiplier le résultat par chacun des termes du diviseur
Ce contenu est protégé par le droit d'auteur. Toute reproduction à l'extérieur des forums Alloprof est interdite et pourra être considérée comme une violation du droit d'auteur.
5) Faire la différence entre le dividende et l'expression algébrique obtenue
Ce contenu est protégé par le droit d'auteur. Toute reproduction à l'extérieur des forums Alloprof est interdite et pourra être considérée comme une violation du droit d'auteur.
6) Abaisser les termes restants du dividende
Ce contenu est protégé par le droit d'auteur. Toute reproduction à l'extérieur des forums Alloprof est interdite et pourra être considérée comme une violation du droit d'auteur.
7) Répéter les étapes 2) à 6)
Ce contenu est protégé par le droit d'auteur. Toute reproduction à l'extérieur des forums Alloprof est interdite et pourra être considérée comme une violation du droit d'auteur.
https://www.alloprof.qc.ca/fr/eleves/bv/mathematiques/la-division-d-une-expression-algebrique-par-un-bi-m1532
N'hésite pas à poser d'autres questions!
Suggestions en lien avec la question
Suggestion en lien avec la question
Voici ce qui a été trouvé automatiquement sur le site, en espérant que ça t’aide!