Skip to content

Zone d’entraide

Question de l’élève

Secondaire 5 • 1m

Allo! j'aimerai savoir si lorsqu'on raproche un miroir de 10 cm , l'image se rapproche de 20 cm . Merci!

Physique
avatar
avatar

{t c="richEditor.description.title"} {t c="richEditor.description.paragraphMenu"} {t c="richEditor.description.inlineMenu"} {t c="richEditor.description.embed"}

Explications (4)

  • Explication d'Alloprof

    Explication d'Alloprof

    Cette explication a été donnée par un membre de l'équipe d'Alloprof.

    Options
    Équipe Alloprof • 1m

    Salut!


    Ça dépend du type de miroir (plan, concave ou convexe)!

    • Pour un miroir plan, l’image se forme à la même distance derrière le miroir que la distance entre l’objet et l'image. Donc, si on rapproche le miroir de 10 cm, l’image se rapproche aussi de 10 cm.
    image.png


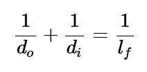
    • Si c’est un miroir courbe (concave ou convexe), la position de l’image dépend de la formule des miroirs :
    {F8306735-DFAD-413D-B18C-C6BB2A5153B0}.png


    Je te conseille de consulter les fiches suivantes :


    N'hésite pas à nous réécrire si tu as d'autres questions! :)

  • Options
    Secondaire 5 • 1m

    Bonjour ChevalierAimable5609,

    Si tu te tiens à 50 cm d'un miroir plan, l'image sera formée à 50 cm derrière le miroir. La distance entre toi et ton image sera de 100 cm.

    Si tu te rapproche du miroir de 10 cm, tu seras alors à 40 cm du miroir et ton image sera derrière le miroir, à 40 cm. La distance entre toi et ton image sera maintenant de 80 cm.

  • Options
    Secondaire 3 • 1m

    Non, lorsque vous rapprochez un miroir de 10 cm, l'image se rapproche également de 10 cm, et non de 20 cm. Pour un miroir plan, la distance entre l'objet et l'image est le double de la distance entre l'objet et le miroir. Par conséquent, si l'objet est à 10 cm, l'image est à 10 cm, mais la distance totale entre l'objet et son image est de 20 cm. 

    • Objet et image à la même distance : La distance entre l'objet et le miroir est toujours égale à la distance entre le miroir et l'image.
    • Distance totale : Si vous rapprochez le miroir de 10 cm, l'image se rapproche de 10 cm également, ce qui fait que la distance totale entre l'objet et son image diminue de 20 cm (
    • 10 cm+10 cm=20 cm10 cm plus 10 cm equals 20 cm.


  • Options
    Secondaire 3 • 1m

    Non, lorsque vous rapprochez un miroir de 10 cm, l'image se rapproche aussi de 10 cm, et la distance totale entre vous et votre image est divisée par deux. 

    • Dans un miroir plan, la distance entre l'objet et le miroir est toujours égale à la distance entre le miroir et l'image.
    • Si vous vous rapprochez du miroir de 10 cm, vous vous rapprochez également de l'image de 10 cm.
    • Par exemple, si vous étiez à 50 cm du miroir, votre image était à 50 cm derrière le miroir (distance totale objet-image = 100 cm).
    • de rien


Poser une question