Une règle pour une fonction polynomiale est son équation, qui décrit comment la variable d'entrée (souvent
xx
𝑥
) est transformée en la variable de sortie (souvent
f(x)f of x𝑓(𝑥) ou yy
𝑦), en utilisant des additions, soustractions et multiplications de termes avec des exposants entiers non négatifs, comme
f(x)=ax2+bx+cf of x equals a x squared plus b x plus c𝑓(𝑥)=𝑎𝑥2+𝑏𝑥+𝑐
pour une fonction quadratique (degré 2) ou
f(x)=ax+bf of x equals a x plus b𝑓(𝑥)=𝑎𝑥+𝑏
pour une fonction linéaire (degré 1). Ces règles définissent la forme de la courbe (droite, parabole, etc.) et permettent de calculer des points spécifiques.
0
Explication d'Alloprof
Explication d'Alloprof
Cette explication a été donnée par un membre de l'équipe d'Alloprof.
La règle d'une fonction est son équation, c'est ce qui la définit!
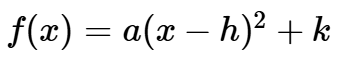
Par exemple, la forme canonique de la règle d'une fonction de second degré est la suivante :
Ce contenu est protégé par le droit d'auteur. Toute reproduction à l'extérieur des forums Alloprof est interdite et pourra être considérée comme une violation du droit d'auteur.
où a, h et k sont des paramètres qui varient d'une fonction à une autre.
Si nous posons a=5, h=2 et k=3, on peut obtenir une parabole dont la règle est :
$$f(x)=5\left(x-2\right)^{2}+3$$
et qui ressemble à ceci :
Ce contenu est protégé par le droit d'auteur. Toute reproduction à l'extérieur des forums Alloprof est interdite et pourra être considérée comme une violation du droit d'auteur.
Et si on change la règle, on peut obtenir une parabole très différente :
$$f(x)=-0,1\left(x+6\right)^{2}-3$$
Ce contenu est protégé par le droit d'auteur. Toute reproduction à l'extérieur des forums Alloprof est interdite et pourra être considérée comme une violation du droit d'auteur.
Ainsi, la règle est ce qui définit une fonction.
De plus, chaque type de fonction (affine, quadratique, exponentielle, etc.) possède une formecanoniquederègle, c’est-à-dire une écriture standard, un genre de gabarit où les paramètres a, b, h, k sont des nombres définit et variant d'une fonction à l'autre.
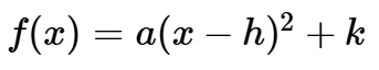
Pour la fonction de second degré (aussi appelée quadratique), c'est celle-ci :
Ce contenu est protégé par le droit d'auteur. Toute reproduction à l'extérieur des forums Alloprof est interdite et pourra être considérée comme une violation du droit d'auteur.
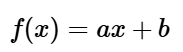
Pour la fonction de premier degré, la forme canonique de la règle est la suivante :
Ce contenu est protégé par le droit d'auteur. Toute reproduction à l'extérieur des forums Alloprof est interdite et pourra être considérée comme une violation du droit d'auteur.
Une règle pour une fonction polynomiale est son équation, qui décrit comment la variable d'entrée (souvent
xx
𝑥
) est transformée en la variable de sortie (souvent
f(x)f of x𝑓(𝑥) ou yy
𝑦), en utilisant des additions, soustractions et multiplications de termes avec des exposants entiers non négatifs, comme
f(x)=ax2+bx+cf of x equals a x squared plus b x plus c𝑓(𝑥)=𝑎𝑥2+𝑏𝑥+𝑐
pour une fonction quadratique (degré 2) ou
f(x)=ax+bf of x equals a x plus b𝑓(𝑥)=𝑎𝑥+𝑏
pour une fonction linéaire (degré 1). Ces règles définissent la forme de la courbe (droite, parabole, etc.) et permettent de calculer des points spécifiques.
Explication d'Alloprof
Cette explication a été donnée par un membre de l'équipe d'Alloprof.
Salut!
La règle d'une fonction est son équation, c'est ce qui la définit!
Par exemple, la forme canonique de la règle d'une fonction de second degré est la suivante :
Ce contenu est protégé par le droit d'auteur. Toute reproduction à l'extérieur des forums Alloprof est interdite et pourra être considérée comme une violation du droit d'auteur.
où a, h et k sont des paramètres qui varient d'une fonction à une autre.
Si nous posons a=5, h=2 et k=3, on peut obtenir une parabole dont la règle est :
$$f(x)=5\left(x-2\right)^{2}+3$$
et qui ressemble à ceci :
Ce contenu est protégé par le droit d'auteur. Toute reproduction à l'extérieur des forums Alloprof est interdite et pourra être considérée comme une violation du droit d'auteur.
Et si on change la règle, on peut obtenir une parabole très différente :
$$f(x)=-0,1\left(x+6\right)^{2}-3$$
Ce contenu est protégé par le droit d'auteur. Toute reproduction à l'extérieur des forums Alloprof est interdite et pourra être considérée comme une violation du droit d'auteur.
Ainsi, la règle est ce qui définit une fonction.
De plus, chaque type de fonction (affine, quadratique, exponentielle, etc.) possède une forme canonique de règle, c’est-à-dire une écriture standard, un genre de gabarit où les paramètres a, b, h, k sont des nombres définit et variant d'une fonction à l'autre.
Pour la fonction de second degré (aussi appelée quadratique), c'est celle-ci :
Ce contenu est protégé par le droit d'auteur. Toute reproduction à l'extérieur des forums Alloprof est interdite et pourra être considérée comme une violation du droit d'auteur.
Pour la fonction de premier degré, la forme canonique de la règle est la suivante :
Ce contenu est protégé par le droit d'auteur. Toute reproduction à l'extérieur des forums Alloprof est interdite et pourra être considérée comme une violation du droit d'auteur.
Voici des fiches qui pourraient t'être utiles :
J'espère que c'est plus clair pour toi! Si tu as d'autres questions, n'hésite pas à nous réécrire! :)
Suggestions en lien avec la question
Suggestion en lien avec la question
Voici ce qui a été trouvé automatiquement sur le site, en espérant que ça t’aide!