Skip to content

Zone d’entraide

Question de l’élève

Secondaire 5 • 21j

comment calculer une demi vie en radiactivité

Sciences
avatar
avatar

{t c="richEditor.description.title"} {t c="richEditor.description.paragraphMenu"} {t c="richEditor.description.inlineMenu"} {t c="richEditor.description.embed"}

Explications (1)

  • Explication d'Alloprof

    Explication d'Alloprof

    Cette explication a été donnée par un membre de l'équipe d'Alloprof.

    Options
    Équipe Alloprof • 21j

    Salut à toi PercheJuste8419 :D

    Merci d'utiliser la Zone d'entraide!


    En cette semaine de la persévérance scolaire, je tiens à te féliciter pour tes efforts à l’école, ce n'est pas toujours facile, mais ta persévérance fait toute la différence 🎉💫. Alloprof est là pour t’aider si tu en as besoin.


    La demi-vie est un concept utilisé en chimie et en physique. La demi-vie est la durée de temps que prend la moitié des atomes d'une certaine substance radioactive à se désintégrer en un ou plusieurs atomes plus stables. Cette désintégration émet d'autres particules et de l'énergie.


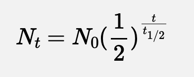
    Il y a plusieurs manières de calculer la demi-vie, selon les informations données dans le problème. Souvent, au secondaire, il y a une table de valeurs avec la quantité d'une substance radioactive selon le temps. Le cas échéant, on peut utiliser la formule suivante.

    image.png

    Légende

    • Nt : quantité au temps t

    • N0 : quantité initiale

    • t : temps

    • t1/2 : demi-vie

    On connait toutes les variables sauf t1/2, qu'on doit alors isoler grâce aux données du problème.


    Cette fiche explique la radioactivité.


    N'hésite pas à nous réécrire au besoin si tu as d'autres questions.

    À bientôt :)

Poser une question