Bonjour,
Corrigé
Ce contenu est protégé par le droit d'auteur. Toute reproduction à l'extérieur des forums Alloprof est interdite et pourra être considérée comme une violation du droit d'auteur.
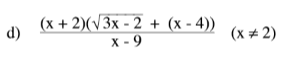
Je ne comprends pas leur restriction...
Le numero
Ce contenu est protégé par le droit d'auteur. Toute reproduction à l'extérieur des forums Alloprof est interdite et pourra être considérée comme une violation du droit d'auteur.
Explication vérifiée par Alloprof
Cette explication a été vérifiée par un membre de l’équipe d’Alloprof.
bonjour à tous et toutes,
Quand on remplace x par 2 dans l'expression initiale et l'expression simplifiée, on obtient la même valeur: 0.
Donc, cette restriction doit être supprimée.
P.S. L'expression initiale et l'expression simplifiée ne sont pas définies lorsque x=9 alors cette restriction peut être omise.
Je suis d'accord avec toi, ce devrait être x différent de 9! Mais pour le reste c'est exact.
Explication d'un(e) pro de la Zone d'entraide
Tu peux faire confiance à cette explication, car elle est donnée par une personne identifiée comme étant fiable par Alloprof.
Bonsoir YakKappa2030,
Je vais pouvoir t'aider à résoudre ce problème!
Tout d'abord, il ne faut pas oublier qu'il est interdit de diviser par zéro. C'est la loi qui est à l'origine de cette restriction.
Ce contenu est protégé par le droit d'auteur. Toute reproduction à l'extérieur des forums Alloprof est interdite et pourra être considérée comme une violation du droit d'auteur.
Voici les démarches complètes pour répondre à ta question. Portes bien attention aux étapes importantes en rouge ;)
Voici une page qui montre bien les différentes techniques de factorisation :
La factorisation d'un polynôme | Secondaire | Alloprof
J'espère que cela a répondu à ta question,
Bonne continuation,
Samya
Suggestions en lien avec la question
Suggestion en lien avec la question
Voici ce qui a été trouvé automatiquement sur le site, en espérant que ça t’aide!