Secondaire 3 • 3a
Bonjour!
En faisant des exercices de math, puis en constatant le corrigé, je crois que le corrigé est erroné. Pourtant, je ne suis pas sûr.
Ce serait bien si vous pouvez valider ou corriger mon observation
Le corrigé a mis ceci comme la réponse, mais moi, je trouve 32x^2/15y^4 à la place.
Merci en avance!

Salut!
La réponse du corrigé est la bonne. On a :
$$ \frac{4x²}{5} \times ? = \frac{3y^4}{8}$$
On veut trouver le terme manquant, il faut donc l'isoler! Pour ce faire, on va diviser chaque côté de l'équation par 4x²/5. On aura alors :
$$ ? = \frac{3y^4}{8} ÷ \frac{4x²}{5} $$
Lorsqu'on divise par une fraction, c'est l'équivalent de multiplier par l'inverse de cette fraction :
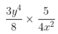
$$ ? = \frac{3y^4}{8} \times \frac{5}{4x²} $$
Il ne reste plus qu'à multiplier les numérateurs et les dénominateurs :
$$ ? = \frac{3y^4\times 5}{8 \times 4x²} $$
$$ ? = \frac{15y^4}{32x²} $$
Voilà! J'espère que c'est plus clair pour toi :) Tu peux aussi nous envoyer une photo de ta démarche si tu veux que l'on regarde ensemble où est ton erreur ;)
Explication d'Alloprof
Cette explication a été donnée par un membre de l'équipe d'Alloprof.
Bonjour,
En fait, il faut que tu multiplies par l'inverse de la fraction qui est du côté gauche de ton égalité. Tu auras alors ceci :
Ce contenu est protégé par le droit d'auteur. Toute reproduction à l'extérieur des forums Alloprof est interdite et pourra être considérée comme une violation du droit d'auteur.
Je te laisse poursuivre le calcul.
Dominik, Alloprof
Suggestions en lien avec la question
Suggestion en lien avec la question
Voici ce qui a été trouvé automatiquement sur le site, en espérant que ça t’aide!