Bonjour résoudre ce problème de géométrie analytique (# 17)
Ce contenu est protégé par le droit d'auteur. Toute reproduction à l'extérieur des forums Alloprof est interdite et pourra être considérée comme une violation du droit d'auteur.
Pour trouver le périmètre, tu auras besoin de trouver la distance entre chacun des points.
Il existe une formule pour t'aider!
Ce contenu est protégé par le droit d'auteur. Toute reproduction à l'extérieur des forums Alloprof est interdite et pourra être considérée comme une violation du droit d'auteur.
Cette formule fait référence au théorème de pythagore ;)
Je t'invite également à visiter notre fiche sur le sujet juste ici:
Explication d'Alloprof
Cette explication a été donnée par un membre de l'équipe d'Alloprof.
Bonjour à toi!
Merci de faire appel à nos services :D
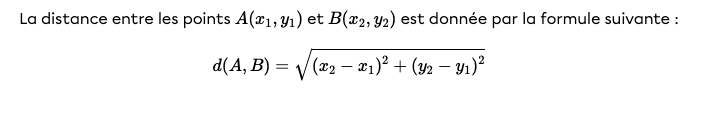
Pour trouver le périmètre, tu auras besoin de trouver la distance entre chacun des points.
Il existe une formule pour t'aider!
Ce contenu est protégé par le droit d'auteur. Toute reproduction à l'extérieur des forums Alloprof est interdite et pourra être considérée comme une violation du droit d'auteur.
Cette formule fait référence au théorème de pythagore ;)
Je t'invite également à visiter notre fiche sur le sujet juste ici:
N'hésite pas si tu as d'autres questions, ce sera un réel plaisir pour moi de te répondre :D
Élizabeth
Suggestions en lien avec la question
Suggestion en lien avec la question
Voici ce qui a été trouvé automatiquement sur le site, en espérant que ça t’aide!