Skip to content

Zone d’entraide

Question de l’élève

Secondaire 4 • 3a

bonsoir encore, j'ai une autre question dans mon devoir je dois donner combien de réponses selon le signe du discriminant donnent les équations mais normalement c'est = a 0 mais la c'est x(x-3) = -2 est ce qu'on doit faire en sorte de faire la mise en évidence simple??? je comprends vraiment pas je suis perdue.

Mathématiques
avatar
avatar

{t c="richEditor.description.title"} {t c="richEditor.description.paragraphMenu"} {t c="richEditor.description.inlineMenu"} {t c="richEditor.description.embed"}

Explications (1)

  • Explication d'Alloprof

    Explication d'Alloprof

    Cette explication a été donnée par un membre de l'équipe d'Alloprof.

    Options
    Équipe Alloprof • 3a September 2022 modifié

    Salut!


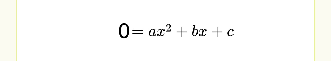
    Tu dois développer l’expression pour l’avoir sous la forme :

    image.jpeg


    Pour avoir 0, tu peux simplement déplacer la constante de l’autre côté de l’équation :

    $$ x(x-3) +2= -2 +2$$

    $$ x(x-3)+2 = 0$$


    Il ne te reste plus qu’à distribuer la multiplication du x pour chaque terme à l’intérieur de la parenthèse afin d’avoir la forme générale de l’équation.


    Si tu as d’autres questions, on est là! :)

Poser une question