Ce contenu est protégé par le droit d'auteur. Toute reproduction à l'extérieur des forums Alloprof est interdite et pourra être considérée comme une violation du droit d'auteur.
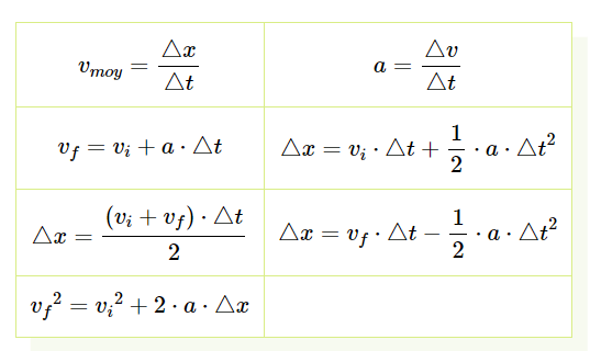
Pour résoudre ces problèmes, tu as besoin des formules du MRUA, les voici :
Ce contenu est protégé par le droit d'auteur. Toute reproduction à l'extérieur des forums Alloprof est interdite et pourra être considérée comme une violation du droit d'auteur.
#11
À cette question, tu cherches l'accélération et le temps que la balle a pris pour s'arrêter. Tu connais la vitesse initiale, finale et le déplacement. À l'aide des formules du MRUA, tu peux trouver les deux valeurs que tu cherches. Il s'agit de prendre la bonne formule.
#13
Dans ce problème, tu cherches à comparer le déplacement des deux coureurs. Le premier se déplace à vitesse constante et le deuxième accélère. Tu dois donc utiliser les formules du MRU et du MRUA pour trouver le déplacement de chaque coureur. Je te laisse essayer de trouver les formules à utiliser.
Voici nos fiches sur le MRUA et le MRU si tu veux en savoir plus :
Explication d'Alloprof
Cette explication a été donnée par un membre de l'équipe d'Alloprof.
Salut YuzuTurquoise854,
Merci pour ta question!
Pour résoudre ces problèmes, tu as besoin des formules du MRUA, les voici :
Ce contenu est protégé par le droit d'auteur. Toute reproduction à l'extérieur des forums Alloprof est interdite et pourra être considérée comme une violation du droit d'auteur.
#11
À cette question, tu cherches l'accélération et le temps que la balle a pris pour s'arrêter. Tu connais la vitesse initiale, finale et le déplacement. À l'aide des formules du MRUA, tu peux trouver les deux valeurs que tu cherches. Il s'agit de prendre la bonne formule.
#13
Dans ce problème, tu cherches à comparer le déplacement des deux coureurs. Le premier se déplace à vitesse constante et le deuxième accélère. Tu dois donc utiliser les formules du MRU et du MRUA pour trouver le déplacement de chaque coureur. Je te laisse essayer de trouver les formules à utiliser.
Voici nos fiches sur le MRUA et le MRU si tu veux en savoir plus :
J'espère que ça t'aide et n'hésite pas à nous réécrire si tu as d'autres questions!
Anthony B.
Suggestions en lien avec la question
Suggestion en lien avec la question
Voici ce qui a été trouvé automatiquement sur le site, en espérant que ça t’aide!