Populaires
Re : Question
Salut MaringouinExemplaire,
Merci pour ta question :)
Une fédération c'est qu'on veux que le fédéral soit en haut complètement et que le gouvernement provincial soit en bas.
( C'est ce qu'on a dans la société )
Une confédération c'est l'inverse. On voudrais que le provinciale soit en haut et le fédéral soit en bas.
J'espère t'avoir aidée !
N'hésite pas si tu as d'autres questions :)
BrachiosaureTimide314
Re : Question
Allo AraAimable1456,
Merci pour ta question!
Le meilleur conseil que je peux te donner est de ne pas lâcher et de continuer à travailler fort! N'hésite pas à poser des questions à ton enseignant. Ça t'aidera à mieux comprendre.
Ne lâche pas!
Lea-Kim
Re : Question
Salut CitrineCalme
Oui ! C'est parfait ! Bravo :D
N'hésite pas si tu as d'autres questions !
BrachiosaureTimide314
Re : Question
Salut :D
Tu peux multiplier 7/35 * 8/1. Tu fais d'abord la multiplication des numérateurs entre eux, puis des dénominateurs entre eux.
Pense à réduire la réponse (fraction irréductible) au minimum.
Bonne résolution :D N'hésite pas si tu as d'autres questions :)
Re : Question
Bonjour!
C'est une grande question! L'école comme on la connait n'a pas toujours existé. À une époque, la plupart des gens ne savaient pas lire et écrire.
Sans éducation, on ne sait pas grand chose et on ne développe pas beaucoup notre pensée. Alors on est plus susceptible de croire tout ce qu'on nous dit. Sans l'école, on ne saurait pas lire, donc on ne pourrait pas s'informer. On ne comprendrait pas comment le monde fonctionne, on ne saurait pas bien compter, on ne connaitrait pas l'histoire du territoire où on vit, etc.
Si l'école cessait d'exister, alors on aurait une population qui n'est pas éduquée, qui ne comprend pas les problèmes du pays. Les adultes ne seraient plus en mesure de régler les problèmes de la société. Par exemple, comment on peut régler un problème avec l'économie d'un pays si on n'a jamais appris à compter, ni à lire?
Bref, il n'y aucun moyen de savoir exactement ce qui se passerait, mais selon moi, c'est ce qui pourrait arriver. :)
Laurie :)
Re : Question
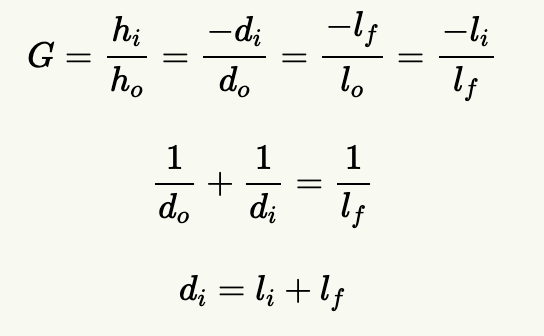
Bonjour CobraKappa,
Merci pour ta question!
Tout d'abord, grâce à la première formule, tu peu trouver la valeur de li à partir de G et lf. Ensuite, à l'aide de la troisième formule, tu peux trouver di. Il ne te reste plus qu'à trouver do avec la deuxième équation.
N'hésite pas si tu as encore besoin d'aide:)
Kylan
Re : Question
Salut! :)
La Commission Bélanger-Campeau invite aussi Ottawa à soumettre de nouvelles offres constitutionnelles plus avantageuses pour la province.
Tu as très bien compris le Rapport Allaire! :)
Toutefois je t'ajoute de petits détails à ta description:
«De plus, en 1991, le Rapport Allaire est publié et propose la signature d'un nouvel accord constitutionnel entre le Québec et le Canada dans lequel on inclurait les demandes du Québec. Si aucune entente n'est conclue, il suggère de tenir un référendum.»
Pour connaître la suite des choses, je te repartage la fiche sur le sujet :
N'hésite pas à nous réécrire si tu as d'autres questions! :)
Marilee
Re : Question
Bonjour PoutineZen8055
merci d'utiliser la zone entraide
voici un exercice de fraction
si tu veux regarder une vidéo pour comprendre voici
pour la vidéo allo prof et minirécup
les exercice supplémentaire
tu veux encore plus voici
j'espère ça t'aider
à bientôt
PoutineZen8055
Re : Question
Bjr,
je peux t'aider.
Tu peux faire des recherches sur Alloprof, Google, Youtube et/ou parler en apelle avec un personelles Alloprof.
Ps: Déso je ne pouvais pas envoyer de lien de ce genre! :(
J'espère que je t'ai aider, sinon d'autres question, tu peux me les poser! ;)
Re : Question
Salut :D
Lorsqu'on divise deux puissance, il faut les soustraire
Voici la loi des exposants : x^m/x^n = x^m-n.
Ici tu peux appliquer la règle en soustrayant tes deux puissances sans oublier leurs signes. Voila et si t'as plus de questions n'hésite pas !

