Populaires
Re : Question
Merci pour ta question!
Oui, c'est parfait!
N'hésite pas si tu as d'autres questions!
Re : Question
Salut :D
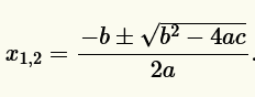
Tu peux utiliser l'identité trigonométrique suivante pour remplacer $$sin^2 (x)$$ par $$1 - cos^2 (x)$$.
Ensuite, la distribution du 2 sur l'équation te donnera :
$$2 - 2cos^2 (x) = 3cos (x)$$
Tu peux alors réarranger l'équation pour la mettre sous forme quadratique.
$$ 2cos^2 (x) + 3 cos (x) - 2 = 0$$
Tu trouveras alors la valeur de cos (x) en remplaçant cos (x) par x, puis en utilisant la formule quadratique.
$$ 2x^2 + 3 x - 2 = 0$$
Une fois la valeur de cos (x) trouvée, il ne te reste plus qu'à faire cos-1 (ou arccos) pour trouver les valeurs de x possibles.
Bons calculs :D N'hésite pas si ta question persiste. :)
Re : Question
Salut :D
Les journaux représentent un moyen de propagation d'une nouvelle efficace. Cela fait en sorte qu'un grande partie de la population est mobilisée autour d'un enjeu social, comme la politique, et donne son opinion, choisit un camp, etc.
Donc, cela peut augmenter les tensions, car les discussions autour de l'enjeu peuvent s'envenimer, alors que, sans journaux, la nouvelle circulerait moins vite par bouche à oreille par exemple.
En complément, la télévision agit comme tel aujourd'hui, mais avec une efficacité grandissante.
N'hésite pas si tu as d'autres questions :D Bonne réflexion :)
Re : Question
c lorsque un ensemble de personnes formants un communauté deviennent démocratiques :))))
Re : Question
Allo! Apparement, il faut se concentrer sur tous ce qui se porte les fonction le plus. Ensuite, il faut réviser trigonométrie et tous ce qui porte autour de ça. Aussi, il faut que tu connaisses les base de la démonstration géométrique puisque tu en auras besoin dans la section C. Selon mon prof de math, fonction en escalier, relation métrique, statistique seront dans les deux première section. Si tu veux, j'envoie le lien de la Cyberrévision d'alloprof (il y a 4 ans). Cela se pourrait qu'il y a des sujets qui y seront modifié mais ca aide beaucoup.
Re : Question
Bonsoir,
Tu peux consulter les notions importantes ainsi que le répertoire de révision sur le site d'Alloprof en cliquant sur les liens ci-dessous.
Bonne étude et n'hésite pas si tu as d'autres questions!
Re : Question
Bonjour AmandeRouge,
Merci pour ta question!
Tout dépend du matériau! Par exemple, pour protéger un métal contre la rouille, on peut le couvrir de graisse antirouille ou de peinture. On pourrait aussi protéger une poutre de bois contre l'humidité avec un vernis ou une peinture.
N'hésite pas si tu as encore besoin d'aide:)
Kylan
Re : Question
Bonjour ! Tu en trouveras une juste ici :
Tu peux aussi regarder notre CyberRécup et te pratiquer avec notre super prof Pascal :D https://www.youtube.com/watch?v=wXrSru6c7q0&t=986s
Bonne révision ! :D
Sarah G
Re : Question
Bonsoir ! :D Merci pour ta question !
Bien que la Loi du Manitoba apaise un peu sur le coup les Métis, elle créera leur mécontentement peu après.
Je m'explique : La Loi du Manitoba fait du Manitoba la 5e province du Canada en 1870, à la suite du premier soulèvement des Métis lors de La rébellion de la Rivière rouge (1869-1870). La loi prévoit des protections des Métis de la région, mais ces promesses ne seront pas respectées longtemps : peu à peu, les Canadiens Anglais se font plus nombreux et les Métis quittent et migrent vers les territoires du Nord-Ouest. Le deuxième soulèvement portera le nom de « rébellion du Nord-Ouest ».
Je t'invite à lire la fiche suivante pour en apprendre plus :https://www.alloprof.qc.ca/fr/eleves/bv/histoire/les-debuts-de-la-federation-canadienne-h1176#les-soulevements-des-metis
Bonne révision !
Sarah G
Re : Question
Bonsoir ! :D Merci de faire appel à nos services !
Tu trouveras des infos dans la fiche suivante : https://www.alloprof.qc.ca/fr/eleves/bv/histoire/la-guerre-et-la-diplomatie-autochtones-au-17-e-s-h1518
Tu peux aussi consulter la réponse de ma collègue juste ici : https://www.alloprof.qc.ca/zonedentraide/discussion/16732/question/p1#Comment_20296
Bonne soirée ! :D
Sarah G


