Populaires
Re : Question
Bonsoir CardinalChouette,
Merci d'utiliser la zone d'entraide! :)
On te demande, dans ta question, d'expliquer un avantage que peut amener la construction d'un nouveau complexe hôtelier dans un village de Cuba. Tu pourrais penser au niveau économique. À titre d'exemple, penses-tu que la construction de ce nouvel hôtel pourrait créer des emplois dans la région?
Ensuite, on te demande d'expliquer un désavantage de cette construction. Je te suggère de te pencher sur le fait que ceux qui construisent ledit hôtel sont originaires d'Espagne et non de Cuba.
Pour t'aider dans la formulation de réponse, je te suggère la fiche suivante, sous la rubrique « Le tourisme de masse » :
Si tu as des questions concernant les éléments de la fiche, n'hésite pas à nous réécrire! Il nous fera plaisir de te donner des précisions! :)
Marilee
Re : Question
Salut!
C’est super que tu veux t’améliorer en écriture!
Voici une fiche pour t’aider à bien réviser les participes passés et la conjugaison des verbes:
Sinon, si tu veux jouer à un jeu en même temps d’apprendre, il y a toujours le jeu PP l’Archer:
Re : Question
Salut!
Tes réponses sont presque bonnes, tu as bien trouvé deux points de la fonction qui sont à y=-2,25 :
Cependant, on te demande de trouver des points à y=-2.25 qui sont entre 5 et 8. Tes points ne sont pas dans l'intervalle x ∈ [5,8].
En d'autres mots, tu dois trouver les points qui sont entre la droite verte x=5 et la droite mauve x=8, et qui sont sur la ligne bleu y=-2,25 et sur la fonction en rouge, donc ces points-ci :
Pour ce faire, tu n'as qu'à soustraire la période de tes réponses jusqu'à ce que tu arrives à des réponses qui sont dans l'intervalle désiré.
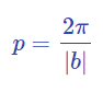
Pour trouver la période, tu dois identifier le paramètre b de ta fonction et appliquer la formule suivante :
J'espère que c'est plus clair pour toi! :)
Re : Question
Bonjour PoutineAuthentique1497,
Tous nos jeux sont actuellement au ralenti. Notre équipe technique travaille là -dessus !
Merci de nous en avoir informé :)
Noémie
Re : Question
Salut !
Tu es très proche ! La moyenne est la somme de tous les résultats divisée par le nombre de données.
Si tu as d'autres questions, n'hésite pas !
Re : Question
Bonjour PoutineAuthentique1497,
Merci d’avoir utilisé la zone d’entraide pour répondre à tes questions.
D’abord, le present tense en anglais se passe durant une action, alors que le present continuous présente une action qui a commencé dans le passé et qui continue dans le présent.
Voici une fiche qui pourrait t’aider:
J’espère que cela répond à ta question et ne lâche pas!
PandaJaune9523
Re : Question
Bonjour Diamant Mauve!
Merci de faire appel à nos services 😉
Tu peux résoudre cette opération par une division par crochet.
Je t'invite à réviser les étapes en consultant la fiche explicative suivante:
J'espère que cela t'aidera!
Re : Question
Bonjour Onyx Efficace!
Merci de faire appel à nos services 😉
Le mot «bonjour» est plutôt un nom masculin.
Pour trouver la classe des mots, je t'invite à les chercher dans un dictionnaire. Leur classe y sera indiquée.
J'espère que cela t'aidera!
Re : Question
Salut!
L'addition 1 + 1 donne 2. Le résultat (2) est appelé une somme. Donc, 1 + 1 forme une somme, qui est 2, ou en d'autres mots, la somme de 1 et 1 est 2.
Je ne suis pas sûre de bien comprendre ta question, donc si cela ne répond pas à ta question, pourrais-tu nous réécrire en nous fournissant plus de détails stp, cela nous aiderait à pouvoir t'aider! :)
À la prochaine!
Re : Question
Bonjour Rubis Fiable!
Merci de faire appel à nos services 😉
Dans ces exercices, tu dois identifier la forme d'énergie initiale ainsi que la forme d'énergie dans laquelle elle se transforme. En a), la réponse que tu avais inscrit semble correcte.
En effet, dans un micro-ondes, l'énergie rayonnante est transformée en énergie thermique qui réchauffe les aliments.
Pour consulter d'autres exemples de transformation d'énergie, tu peux consulter la fiche explicative suivante:
J'espère que cela t'aidera!


