Populaires
Re : Question
Bonjour Ara Brave!
Il s'agit ici d'un texte qui aborde le sujet controversé de la peine de mort.
Pour bien comprendre un texte, je t'invite à le lire une première fois. Tu peux souligner les mots que tu ne comprends pas et les chercher par la suite dans le dictionnaire.
Tu peux par la suite décomposer le texte en morceaux et tenter de les résumer.
Pour obtenir d'autres astuces de lecture, tu peux consulter la fiche explicative suivante:
J'espère que cela t'aidera!
Re : Question
Bonjour FlamantRose,
Merci pour ta question!
La vitesse de la lumière est plus faible dans un milieu plus réfringent, puisqu'un tel milieu, plus dense, offre davantage de résistance au passage de la lumière, ce qui la ralentit.
Voici une analogie qui permet de mieux comprendre ce phénomène:
Si un sprinteur court dans un gymnase, sa vitesse sera très élevée. Toutefois, s'il devait faire la même course dans de l'eau, sa vitesse serait nécessairement plus petite, car l'eau ralentirait son mouvement. La lumière agit un peu de la même façon: lorsqu'elle change de milieu, elle diminue sa vitesse et déviera de sa trajectoire.
Tu peux consulter cette fiche explicative au besoin:
N'hésite pas si tu as encore besoin d'aide:)
Kylan
Re : Question
Salut!
Donc on a :
$$ \left\{ \begin{array}{ll} 2x - y = 5 \\ y = x^2 + 3x - 11 \end{array} \right. $$
On va remplacer y dans la première équation par ce que y vaut dans la seconde équation, comme ceci :
$$ 2x - (x^2 + 3x - 11 ) = 5 $$
Puis, on résout. On commence par distribuer le signe négatif à l'intérieur de la parenthèse :
$$ 2x - x^2 - 3x + 11 = 5 $$
On additionne les termes semblables 2x et -3x :
$$ - x^2 - x+ 11 = 5 $$
On déplace la constante 5 de l'autre côté de l'équation :
$$ - x^2 - x+ 11 -5 = 5-5 $$
$$ - x^2 - x+ 6= 0 $$
On peut ensuite factoriser l'expression avec la méthode du produit-somme, ou encore avec la formule quadratique.
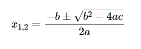
Utilisons la méthode de la formule quadratique. On a alors :
$$ x_{1,2} = \frac{-(-1)±\sqrt{(-1)^2-4(-1)(6)}}{2(-1)}$$
$$ x_{1,2} = \frac{1±\sqrt{1+24}}{-2}$$
$$ x_{1,2} = \frac{1±\sqrt{25}}{-2}$$
$$ x_{1,2} = \frac{1±5}{-2}$$
On divise notre équation en deux équations et on les résout:
$$ x_{1} = \frac{1+5}{-2}$$
$$ x_{1} = \frac{6}{-2} = -3$$
et
$$ x_{2} = \frac{1-5}{-2}$$
$$ x_{2} = \frac{-4}{-2}=2$$
Voilà ! On a donc deux points d'intersection, soit x=-3 et x=2
J'espère que c'est plus clair pour toi! Si tu as d'autres questions, on est là ! :)
Re : Question
Bonjour ArsenicDelta,
Merci pour ta question :)
Je te dirais d'aller mettre ton y tout seul pour après faire tes opérations inverses avec y1 = y2.
2x - y = 5
( y négatif donc mettre y positif pour le mettre de l'autre côté )
2 x = y + 5
( 5 positif donc, va devenir -5 de l'autre côté )
2x - 5 = y
Avec tes deux règles tu pourras faire ta méthode de y1 = y2 avec les opérations inverses
J'espère t'avoir aidée !
N'hésite pas si tu as d'autres question :D
BrachiosaureTimide314
Re : Question
Bonjour ElfeLogique1551,
Merci d'avoir utiliser notre plateforme de la Zone d'entraide AlloProf.
Si tu a des difficultés sur les homophones, j'ai une fiche qui pourra peut-être t'aider.
Bon travail!
Re : Question
Salut FraiseComique4678
Merci pour ta question!
Pour répondre à cette question, je te conseille de regarder les variables de la formule. Parmi ces variables, laquelle dépend de la nature de la substance, la masse de la substance, la variation de température de la substance ou la capacité thermique massique?
Je te conseille de regarder les pages du manuel que tu as envoyées, la réponse est écrite ainsi que la définition de la variable.
J'espère que ça t'aide et n'hésite pas à nous réécrire si tu as d'autres questions!
Anthony B.
Re : Question
Bonjour NabooComique2058,
Il n'y a pas de magasin meilleur qu'un autre. Tout dépend de la fourniture scolaire que tu souhaites avoir, de l'endroit où tu habites et du prix ! Il faut donc être capable de trouver ce qu'on cherche, à moindres coûts et en évitant de faire plusieurs magasins (si possible) afin de sauver du temps et de l'argent !
J'espère que ça répond à ta question ! :)
Noémie
Re : Question
Bonjour FramboiseRouge5757,
Voici des liens vers des exercices qui pourraient t'intéresser :
- Espaces privés et publics à Athènes
- Évolution d'Athènes dans le temps
- Institutions politiques à Athènes
- Culture et croyances athéniennes
- Structure sociale athénienne
- Grands philosophes grecs
- Révision : une première expérience de démocratie
J'espère que ça répond à ta question.
N'hésite pas à nous réécrire si tu en as d'autres! :)
Noémie
Re : Question
Bonjour RobotSigma6463,
Personne n'a de boule de cristal pour prévoir l'avenir. Par contre, on vit actuellement une période de changement social et économique qui pourrait avoir des impacts à court, moyen et long termes. Il est possible qu'il y ait de plus en plus de robots qui nous remplacent et qu'on travaille de moins en moins. Il faudra aussi trouver de nouvelles façons de vivre pour sauver la planète. Plusieurs changements sont à venir, mais nous pourrons seulement répondre à ta question dans 20 ans ! :)
Noémie
