Populaires
Re : Question
Bonjour XwingBionique8501,
Voici une table d'additions:
Nous serons très heureux de pouvoir t'aider avec tes questions scolaires qui nécessitent du soutien de la part de tes collègues ou des modérateurs! À bientôt!
Re : Question
Bonsoir MomieJaune5753,
Merci d'avoir utilisé la zone d'entraide pour répondre à tes questions.
Une anaphore est une expression répétée en tête d'une phrase, c'est-à -dire au début d'une phrase.
Une répétition est une expression répétée au milieu ou à la fin d'une phrase.
En espérant que cela t'aide, je te laisse déterminer la réponse à ta question.
Bonne soirée! ;)
OrAutonome2754
Re : Question
Bonjour!
Égaré est un synonyme de perdu! Être égaré signifie donc être perdu. Avoir égaré quelque chose signifie avoir perdu quelque chose.
J'espère t'avoir aidé! Si tu as d'autres questions, n'hésite pas à nous réécrire. Nous te répondrons avec plaisir!
Laurie :)
Re : Question
Bonjour OrAutonome6523,
Je crois que tu fais référence à un texte justificatif.
En effet, le texte justificatif sert à partager ton opinion, sans chercher à convaincre ton lecteur. Il sert simplement à présenter ta vision des faits. Si les éléments d'information que tu dois ajouter à ton texte ont pour but de convaincre ton lecteur d'adopter ton opinion, alors on tombe dans un texte argumentatif.
Pour plus d'informations sur le texte justificatif c'est par ici :
J'espère que ça t'a aidé. N'hésite pas à nous réécrire si tu as d'autres questions ! :D
Noémie
Re : Question
Bonjour!
La capitale du Canada est Ottawa!
Si tu as d'autres questions, n'hésite pas à nous réécrire. Nous te répondrons avec plaisir!
Laurie :)
Re : Question
Bonsoir C3POOrange7376,
Merci d'avoir utilisé la zone d'entraide pour répondre à tes questions.
Il n'y a pas d'examen de ministère de math en sec 3, mais bien en sec4. De plus, l'examen du ministère en math est en 6e année du primaire pas en 4e.
En espérant que cela répond à ta question, je te souhaite une bonne soirée! ;)
OrAutonome2754
Re : Question
Bonjour!
Ce passage signifie que ces "supposés" marchands passent la majorité de leur temps à jouer à des jeux plutôt qu'à marchander, donc Tristan a peur que les hommes de Weisefort aient découverts son mensonge (que les compagnons ne sont pas de vrais marchands).
J'espère t'avoir aidé! Si tu as d'autres questions, n'hésite pas à nous réécrire. Nous te répondrons avec plaisir!
Laurie :)
Re : Question
Bonjour AiguemarineSarcelle8440,
Consommer des insectes veut simplement dire « manger des insectes ».
Dans plusieurs régions du monde, la consommation d'insectes fait déjà partie des habitudes alimentaires. Au Québec, certaines personnes commencent à intégrer les insectes à leur alimentation, car c'est une bonne source de protéine dont l'élevage est moins dommageable pour l'environnement que la production de protéines animales (élevage de bovins, de poulets, etc.).
J'espère que ça t'a aidé. N'hésite pas à nous réécrire si tu as d'autres questions ! :D
Noémie
Re : Question
Bonjour Diamant Habile!
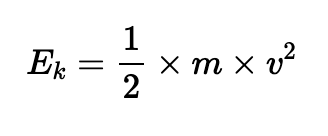
Pour répondre à cette question, on peut observer la formule de l'énergie cinétique:
Ainsi, l'énergie cinétique est proportionnelle au carré de la vitesse. Par exemple, lorsque la vitesse double, l'énergie cinétique quadruple.
Pour réviser les notions relatives à l'énergie cinétique, tu peux consulter la fiche explicative suivante:
J'espère que cela t'aidera!
Question
Salut! Je suis en premiere anner du primaire et jai besoin daide je sais pas comment calculer des multiplications

