Populaires
Re : Question
Bonjour Argent Bionique!
Merci de faire appel à nos services!
Pour une substance pure, tu pourras observer certains points clés sur un graphique de changement de température, soit la température de fusion et celle d'ébullition, qui sont des propriétés caractéristiques de la matière. Par exemple, un graphique où la température d'ébullition est à 100°C représente de l'eau.
Pour un mélange, ces points seront différents de ceux des substances qui le composent.
J'espère que cela t'aidera!
Re : Question
Salut PuceKappa5730,
Merci pour ta question!
Lorsque tu as des problèmes de physique où tu es dans des situations de la vie réelle, tu dois considérer la gravité. La gravité en physique mécanique, c'est une accélération dans le sens négatif de l'axe des y ou si tu veux vers le bas.
Si tu prends en compte cette accélération, tu vas pouvoir répondre à cette question. Petit indice, qu'est ce qui va arriver si on lance une fléchette, va-t-elle rester droite ou elle va adopter ce mouvement :
Je te laisse répondre!
Voici notre fiche sur les projectiles si tu veux en savoir plus :
J'espère que ça t'aide et n'hésite pas à nous réécrire si tu as d'autres questions!
Anthony B.
Re : Question
Salut PuceKappa5730,
Merci pour ta question!
Puisque dans ta situation tu cherches une information associée à une hauteur, tu dois utiliser le mouvement en y. La hauteur correspond à un déplacement en y.
J'espère que ça t'aide et n'hésite pas à nous réécrire si tu as d'autres questions!
Anthony B.
Re : Question
Salut PuceKappa5730,
Merci pour ta question!
Pour avoir une grandeur de 5, il faut que la somme des composantes au carré soit égale à 5^2. Bref, il faut que c dans la relation de Pythagore soit égal à 5^2.
Tu es dans une situation particulière, car tu peux faire un triplet de Pythagore. Ce que ça veut dire, c'est que tu vas avoir que des entiers pour tes côtés. En effet, tu as le triplet (3,4,5). Si tu utilises les côtés de longueur 3 et 4, l'hypoténuse de ton triangle est égale à 5. Il faut donc que tu utilises des composantes de longueur 3 et 4 pour obtenir une norme égale à 5.
Voici notre fiche sur les composantes d'un vecteur si tu veux en savoir plus :
J'espère que ça t'aide et n'hésite pas à nous réécrire si tu as d'autres questions!
Anthony B.
Re : Question
Bonjour Azote Cocasse!
Merci de faire appel à nos services!
Une solution est un mélange homogène qui comprend un solvant et un ou plusieurs solutés.
Par exemple, l'eau salée est une solution où le solvant est l'eau et le sel est le soluté.
Pour en apprendre davantage à ce sujet, tu peux consulter la fiche explicative suivante:
J'espère que cela t'aidera!
Re : Question
Bonjour Diamant Rouge!
Merci de faire appel à nos services!
C'est l'ensemble du corps qui réagit, et donc qui mobilise plusieurs systèmes et cellules, lorsque la température varie.
Par exemple, lorsque la température corporelle augmente, ce changement est détecté puis analysé au centre de régulation. Des signaux sont ensuite envoyés pour dilater les vaisseaux sanguins et enclencher la sudation. Ceci demande donc la participation de différents systèmes.
Pour en apprendre davantage sur le phénomène de thermorégulation, tu peux consulter la fiche explicative suivante:
J'espère que cela t'aidera!
Éveline
Re : Question
Bonjour LapinAdorable2893,
Merci pour ta question.
Tu peux choisir ton pseudonyme et ton icone sur ton profil alloprof.
J'espère avoir répondu à ta question.
Lea-Kim S.
Re : Question
Bonjour Ara Enthousiaste!
Merci de faire appel à nos services!
La fragilité est la capacité d'un matériau à se briser lorsqu'il est soumis à des contraintes. Un matériau fragile peut être rigide.
La résilience est le contraire de la fragilité. C'est la capacité d'un matériau à résister aux contraintes.
La rigidité est la capacité d'un matériau de résister à la déformation.
Ainsi, la résilience et la rigidité diffèrent par ce à quoi elles résistent: les contraintes pour la résilience et la déformation pour la rigidité.
Pour réviser ces notions, tu peux consulter la fiche explicative suivante:
J'espère que cela t'aidera!
Éveline
Re : Question
Bonjour GalaxieSigma3773!
Merci de faire appel à nos services!
D'abord, il est possible d'estimer le point de rosée soit à l'aide de calcul, soit à l'aide d'un graphique.
Tu pourrais, par exemple, déduire cette valeur sur le graphique suivant:
Pour ce qui est du débit d'eau retirée, ceci dépasse les notions couvertes par Alloprof, puisqu'il ne s'agit pas de matière enseignée au secondaire.
Voici une ressource qui pourrait t'aider:
J'espère que cela t'aidera!
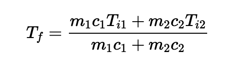
Re : Question
Bonjour Galaxie Sigma !
Merci de faire appel à nos services!
Dans cette situation, tu peux déterminer la température finale de l'eau à l'aide de la formule suivante:
Ici, la température finale sera supérieure à 100°C. Toutefois, la température maximale de l'eau liquide est de 100°C, ce qui explique cette réponse.
Avec la réelle température de l'eau, tu pourras estimer le pourcentage d'ébullition à l'aide d'un graphique. Ces notions dépassent toutefois ce qui est couvert au secondaire.
J'espère que cela t'aidera!
Éveline


