pouvez-vous me démontrer les étapes à faire pour résoudre cet exercice ?Merci
Ce contenu est protégé par le droit d'auteur. Toute reproduction à l'extérieur des forums Alloprof est interdite et pourra être considérée comme une violation du droit d'auteur.
Tout d'abord, une bissectrice est une droite qui divise un angle en deux angles égaux. Ainsi, la bissectrice du 1e et 3e quadrant serait la droite suivante :
Ce contenu est protégé par le droit d'auteur. Toute reproduction à l'extérieur des forums Alloprof est interdite et pourra être considérée comme une violation du droit d'auteur.
Elle sépare l'angle en deux angles égaux de 135 degrés (l'angle entre les quadrants 1 et 3 est de 270 degrés (90×3), et si on divise 270 degrés par 2, on obtient l'angle de 135 degrés).
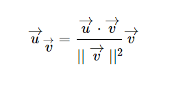
Tu peux alors trouver le vecteur directeur de cette bissectrice, puis calculer la projection à l'aide de cette formule :
Ce contenu est protégé par le droit d'auteur. Toute reproduction à l'extérieur des forums Alloprof est interdite et pourra être considérée comme une violation du droit d'auteur.
Tu pourras ensuite trouver la norme de la projection :
Ce contenu est protégé par le droit d'auteur. Toute reproduction à l'extérieur des forums Alloprof est interdite et pourra être considérée comme une violation du droit d'auteur.
Explication d'Alloprof
Cette explication a été donnée par un membre de l'équipe d'Alloprof.
Salut!
Tout d'abord, une bissectrice est une droite qui divise un angle en deux angles égaux. Ainsi, la bissectrice du 1e et 3e quadrant serait la droite suivante :
Ce contenu est protégé par le droit d'auteur. Toute reproduction à l'extérieur des forums Alloprof est interdite et pourra être considérée comme une violation du droit d'auteur.
Elle sépare l'angle en deux angles égaux de 135 degrés (l'angle entre les quadrants 1 et 3 est de 270 degrés (90×3), et si on divise 270 degrés par 2, on obtient l'angle de 135 degrés).
Tu peux alors trouver le vecteur directeur de cette bissectrice, puis calculer la projection à l'aide de cette formule :
Ce contenu est protégé par le droit d'auteur. Toute reproduction à l'extérieur des forums Alloprof est interdite et pourra être considérée comme une violation du droit d'auteur.
Tu pourras ensuite trouver la norme de la projection :
Ce contenu est protégé par le droit d'auteur. Toute reproduction à l'extérieur des forums Alloprof est interdite et pourra être considérée comme une violation du droit d'auteur.
Voici une fiche sur cette notion qui pourrait t'être utile : La projection orthogonale d'un vecteur | Secondaire | Alloprof
Je te laisse essayer avec ces indices. Si tu as d'autres questions, n'hésite pas à nous réécrire! :)
Suggestions en lien avec la question
Suggestion en lien avec la question
Voici ce qui a été trouvé automatiquement sur le site, en espérant que ça t’aide!