Secondaire 3 • 1a
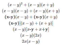
Comment factorisée ce polynôme? Ma réponse est (x-y)+2x mais le corrigé dit 2x(x-y). Pouvez-vous me montrer la démarche?
Comment factorisée ce polynôme? Ma réponse est (x-y)+2x mais le corrigé dit 2x(x-y). Pouvez-vous me montrer la démarche?
Bonjour LionSociable8446,
Voici les étapes de simplification:
Ce contenu est protégé par le droit d'auteur. Toute reproduction à l'extérieur des forums Alloprof est interdite et pourra être considérée comme une violation du droit d'auteur.
En espérant que cela réponde à ta question.
Bonne révision
Suggestions en lien avec la question
Suggestion en lien avec la question
Voici ce qui a été trouvé automatiquement sur le site, en espérant que ça t’aide!