Secondaire 4 • 1a
Bonjour est-ce que vous pourriez m’aider pour le numéro 1, 2, et 3 svp j’ai oublier comment faire merci
Bonjour est-ce que vous pourriez m’aider pour le numéro 1, 2, et 3 svp j’ai oublier comment faire merci
Explication d'Alloprof
Cette explication a été donnée par un membre de l'équipe d'Alloprof.
Salut!
Tu dois utiliser les différentes lois des exposants pour résoudre ces problèmes! N'oublie pas que ces lois s'appliquent entre les mêmes variables. Par exemple, au numéro c) :
Ce contenu est protégé par le droit d'auteur. Toute reproduction à l'extérieur des forums Alloprof est interdite et pourra être considérée comme une violation du droit d'auteur.
Tu peux additionner les exposants des variables \(x\), ainsi que les exposants des variables \(y\) grâce à cette loi :
Ce contenu est protégé par le droit d'auteur. Toute reproduction à l'extérieur des forums Alloprof est interdite et pourra être considérée comme une violation du droit d'auteur.
Ce qui te donnera alors ceci :
$$\frac{1}{6} \times 36 \times x^{4+7}y^{5+11} $$
Finalement, tu pourras multiplier les coefficients \(\frac{1}{6}\) et 36.
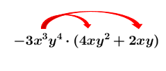
Pour le numéro 3, tu dois commencer par multiplier les expressions algébriques. Ensuite, tu devras appliquer les lois des exposants pour simplifier l'expression (Attention, les lois sont réservées aux multiplications, et non à l'addition! Par exemple, l'expression \(a^2+a^3\) ne peut pas être simplifiée, mais \(a^2\timesa^3\) oui!). N'oublie pas également d'appliquer la distributivité de la multiplication. Voici un exemple similaire :
Ce contenu est protégé par le droit d'auteur. Toute reproduction à l'extérieur des forums Alloprof est interdite et pourra être considérée comme une violation du droit d'auteur.
Ce contenu est protégé par le droit d'auteur. Toute reproduction à l'extérieur des forums Alloprof est interdite et pourra être considérée comme une violation du droit d'auteur.
Je te laisse essayer avec ces indices. Si tu as d'autres questions, n'hésite pas à nous réécrire! :)
Suggestions en lien avec la question
Suggestion en lien avec la question
Voici ce qui a été trouvé automatiquement sur le site, en espérant que ça t’aide!