Secondaire 3 • 1a
Bonsoir,
J'espère que vous allez bien,
J'aimerais savoir comment réduire cette expression algébrique, grâce a la loi des exposants :
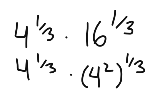
4^1/3 x 16^1/3
Bonsoir,
J'espère que vous allez bien,
J'aimerais savoir comment réduire cette expression algébrique, grâce a la loi des exposants :
4^1/3 x 16^1/3
Explication d'Alloprof
Cette explication a été donnée par un membre de l'équipe d'Alloprof.
Salut DodoMauve5476 😁
Merci pour ta question!
Il s'agit plutôt d'une multiplication de nombres sous forme exponentielle, car il n'y a pas de variables (de lettres), ce n'est donc pas considéré comme une expression algébrique.
Voici comment faire :
1) On peut changer 16 pour 4^2, afin d'avoir la même base.
Ce contenu est protégé par le droit d'auteur. Toute reproduction à l'extérieur des forums Alloprof est interdite et pourra être considérée comme une violation du droit d'auteur.
2) On peut multiplier les exposants entre eux pour réduire (4^2)^(1/3).
Ce contenu est protégé par le droit d'auteur. Toute reproduction à l'extérieur des forums Alloprof est interdite et pourra être considérée comme une violation du droit d'auteur.
Ce contenu est protégé par le droit d'auteur. Toute reproduction à l'extérieur des forums Alloprof est interdite et pourra être considérée comme une violation du droit d'auteur.
3) On peut additionner les exposants entre eux pour réduire.
Ce contenu est protégé par le droit d'auteur. Toute reproduction à l'extérieur des forums Alloprof est interdite et pourra être considérée comme une violation du droit d'auteur.
Ce contenu est protégé par le droit d'auteur. Toute reproduction à l'extérieur des forums Alloprof est interdite et pourra être considérée comme une violation du droit d'auteur.
Puis, on exprime le résultat sous la forme la plus simple, soit 4.
Pour réviser les lois des exposants, c'est par ici.
Écris-nous si tu as d'autres questions 😊
À bientôt 😎
Suggestions en lien avec la question
Suggestion en lien avec la question
Voici ce qui a été trouvé automatiquement sur le site, en espérant que ça t’aide!