Skip to content

Zone d’entraide

Question de l’élève

Secondaire 2 • 1a

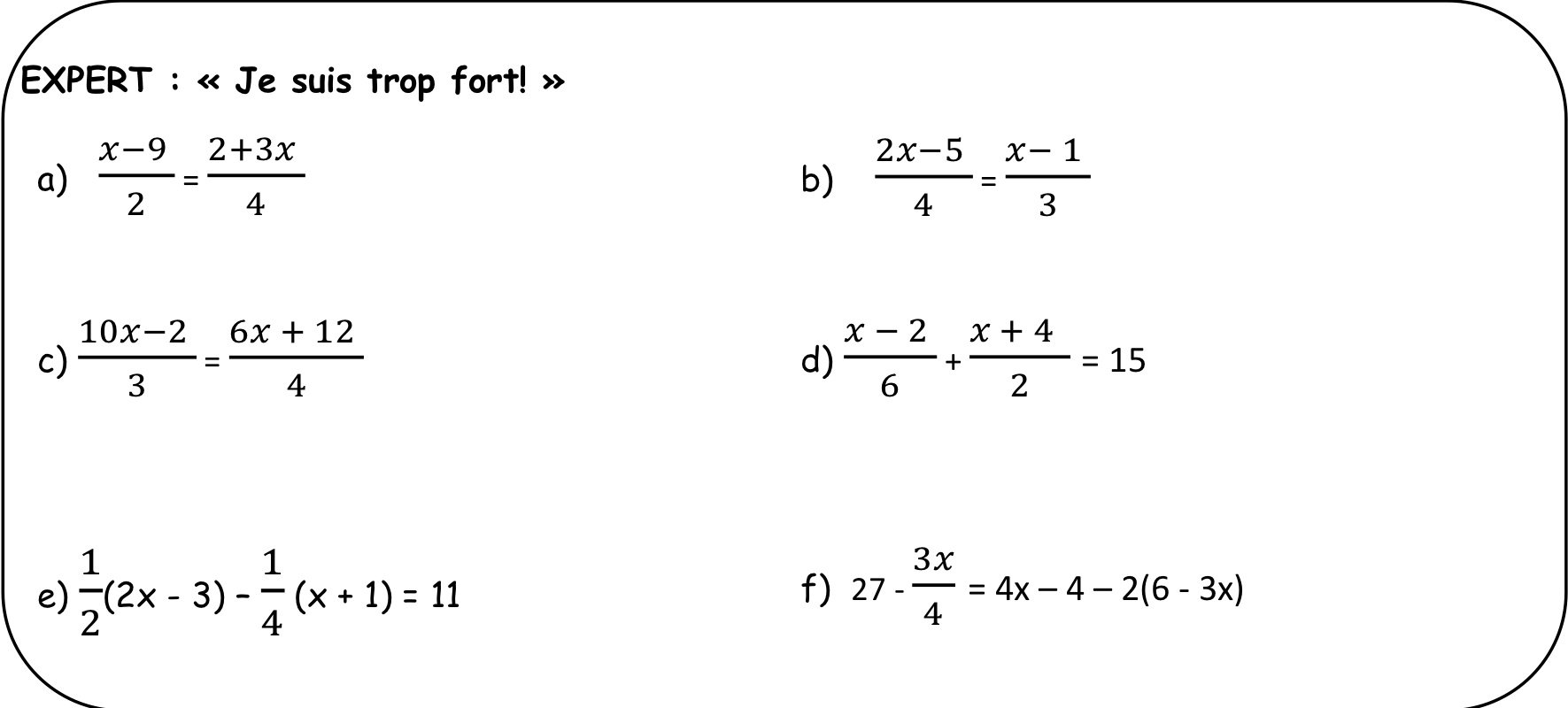
Pouvez vous m’aider à résoudre ces équations car les fraction me mélangent un peu

IMG_1023.jpeg


Mathématiques
avatar
avatar

{t c="richEditor.description.title"} {t c="richEditor.description.paragraphMenu"} {t c="richEditor.description.inlineMenu"} {t c="richEditor.description.embed"}

Explications (1)

  • Explication d'Alloprof

    Explication d'Alloprof

    Cette explication a été donnée par un membre de l'équipe d'Alloprof.

    Options
    Équipe Alloprof • 1a

    Salut !

    Si les fractions te mélange, tu peux essayer de t'en débarrasser en suivant les règles de transformation des équations.



    Par exemple, pour le a), si tu multiplies toute l'équation par 2 et par 4, tu te débarrasses des fractions.

    $$ \frac{x-9}{2}=\frac{2+3x}{4} $$

    $$ \frac{(x-9)\times2\times4}{2}=\frac{(2+3x)\times2\times4}{4} $$

    $$ (x-9)\times4=(2+3x)\times2 $$

    J'espère que cela ait pu t'aider et si tu as d'autres questions, n'hésite pas !

    Bonne journée !

Poser une question