Skip to content

Zone d’entraide

Question de l’élève

Secondaire 5 • 1a

Bonsoir, je ne comprend ça.

Ici pour le numéro on 10 # 6, le domaine est est trouver a l'aide du résultat de la fonction, sans prendre en considération le domaine des deux fonctions dans l'opération

20240924_200351.jpg
20240924_200357.jpg

Mais dans le #3 d) on prend en considération la restriction de la fonction g(x)

On dit que le domaine = à l'intersection entre les deux fonctions, mais je ne comprend pas comment cela s'applique ici..

Merci!

Mathématiques
avatar
avatar

{t c="richEditor.description.title"} {t c="richEditor.description.paragraphMenu"} {t c="richEditor.description.inlineMenu"} {t c="richEditor.description.embed"}

Explications (1)

  • Explication d'Alloprof

    Explication d'Alloprof

    Cette explication a été donnée par un membre de l'équipe d'Alloprof.

    Options
    Équipe Alloprof • 1a September 2024 modifié

    Salut FraiseAdorable5247 😁

    Merci pour ta question!


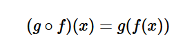
    D'abord, en résumé, lorsqu'on a g ○ f, on remplace le x de la fonction g par la fonction f.

    {48AB9005-DB2C-4FD0-BEBE-4121405293A3}.png

    L'exercice #10 consiste, en a), à trouver l'équation de la composition de fonctions et, en b, à décrire le domaine de la nouvelle fonction obtenue (pour chacune des équations trouvées aux numéros 1 à 8).

    L'exercice #3, il faut trouver l'équation obtenue en faisant chacun des opérations demandées.

    Par exemple, au b), on fait :

    $$f - g;$$

    $$x - \sqrt {(x^2-1)}.$$

    Il te reste à voir si tu peux réduire.


    Pour en apprendre plus sur la composition de fonctions, c'est par ici.


    Écris-nous si tu as d'autres questions. 😊

    À bientôt sur la Zone d'entraide! 😎

Poser une question