Skip to content

Zone d’entraide

Question de l’élève

Secondaire 3 • 1a

Bonsoir,

Pour l'expression: x⁵y³z⁻⁶/x⁻⁵y⁴z, j'ai eu x¹⁰y⁻¹z⁻⁷.

Je sais si les exposants sont négatives, on doit les inverser pour les rendre positif mais pouvez-vous m'expliquer comment je peux faire ça avec cette expression, je n'arrive à comprendre.

Merci! :D

*Lois des exposants*

Mathématiques
avatar
avatar

{t c="richEditor.description.title"} {t c="richEditor.description.paragraphMenu"} {t c="richEditor.description.inlineMenu"} {t c="richEditor.description.embed"}

Explications (1)

  • Explication d'Alloprof

    Explication d'Alloprof

    Cette explication a été donnée par un membre de l'équipe d'Alloprof.

    Options
    Équipe Alloprof • 1a

    Salut!


    Pour éliminer les exposants négatifs, tu dois déplacer le facteur au numérateur s'il est au dénominateur, ou au dénominateur s'il est au numérateur. Ainsi, puisque z⁻⁶ est au numérateur, nous allons le déplacer au dénominateur :

    $$\frac{x^5y^3z^{-6}}{x^{-5}y^4z}$$

    $$\frac{x^5y^3}{x^{-5}y^4z(z^{6})}$$

    Puisque x⁻⁵ est au dénominateur, nous allons le déplacer au nominateur :

    $$\frac{x^5(x^{5})y^3}{y^4z(z^{6})}$$

    Tu peux ensuite simplifier l'expression en combinant les mêmes bases.


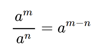
    Cependant, si c'était moi, j'aurais plutôt utilisé cette loi des exposants dès le début pour simplifier l'expression :

    image.png

    Comme ceci :

    $$\frac{x^5y^3z^{-6}}{x^{-5}y^4z}$$

    $$x^{5--5}y^{3-4}z^{-6-1}$$

    $$x^{5+5}y^{-1}z^{-7}$$

    $$x^{10}y^{-1}z^{-7}$$

    On peut ensuite déplacer les variables y et z au dénominateur pour éliminer leur exposant négatif, comme ceci :

    $$\frac{x^{10}}{yz^{7}}$$


    J'espère que c'est plus clair pour toi! :)

Poser une question