J'aimerais savoir comment ont fait pour savoir nos exposant par coeur??
Ce contenu est protégé par le droit d'auteur. Toute reproduction à l'extérieur des forums Alloprof est interdite et pourra être considérée comme une violation du droit d'auteur.
Voici mon truc pour l'exposant fractionnaire (exposant qui est une fraction). Je retiens que :
n umérateur (2) = ex posant (2)
Je pense à next (n + ex).
dé nominateur (3) = chiffre de la racine (3)
Je pense à déraciner (dé + racine).
Ce contenu est protégé par le droit d'auteur. Toute reproduction à l'extérieur des forums Alloprof est interdite et pourra être considérée comme une violation du droit d'auteur.
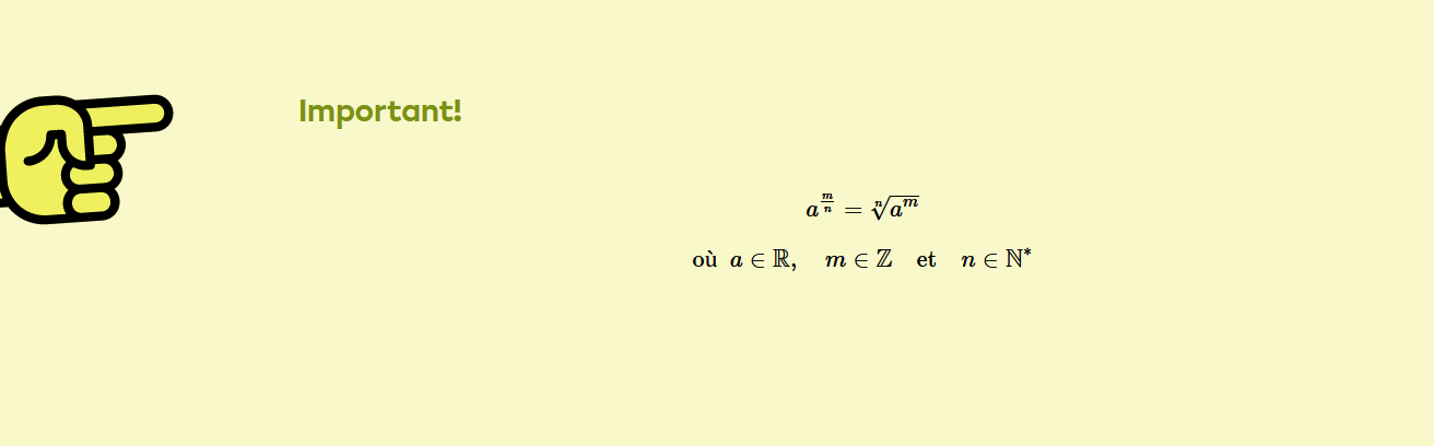
Voici la formule pour réviser.
Tu peux te trouver de petits trucs comme ceux-là pour mémoriser la position des chiffres lorsque tu transforme un exposant fractionnaire (exposant qui est une fraction) en racine d'un nombre exponentiel (nombre avec un exposant).
Tu peux aussi visionner cette vidéo pour réviser les exposants.
Explication d'Alloprof
Cette explication a été donnée par un membre de l'équipe d'Alloprof.
Coucou Roseline :D
Voici mon truc pour l'exposant fractionnaire (exposant qui est une fraction). Je retiens que :
n umérateur (2) = ex posant (2)
Je pense à next (n + ex).
dé nominateur (3) = chiffre de la racine (3)
Je pense à déraciner (dé + racine).
Ce contenu est protégé par le droit d'auteur. Toute reproduction à l'extérieur des forums Alloprof est interdite et pourra être considérée comme une violation du droit d'auteur.
Voici la formule pour réviser.
Tu peux te trouver de petits trucs comme ceux-là pour mémoriser la position des chiffres lorsque tu transforme un exposant fractionnaire (exposant qui est une fraction) en racine d'un nombre exponentiel (nombre avec un exposant).
Tu peux aussi visionner cette vidéo pour réviser les exposants.
Bonne révision :D Et bonne journée à toi :)
Suggestions en lien avec la question
Suggestion en lien avec la question
Voici ce qui a été trouvé automatiquement sur le site, en espérant que ça t’aide!