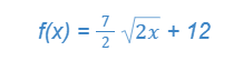
Quand j'additionne ça :
Ce contenu est protégé par le droit d'auteur. Toute reproduction à l'extérieur des forums Alloprof est interdite et pourra être considérée comme une violation du droit d'auteur.
Ça donne bien ce résultats ? :
Ce contenu est protégé par le droit d'auteur. Toute reproduction à l'extérieur des forums Alloprof est interdite et pourra être considérée comme une violation du droit d'auteur.
Pas tout à fait
Si tu fais l'addition alors tu as
2f(x) = (2 + 3/2)√x + 12
2f(x) = (7/2)√x + 12
f(x) = (7/4)√x + 6
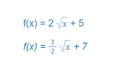
Par contre si tu veux résoudre ces deux égalités pour trouver la valeur de x pour laquelle les deux sont vraies:
2√x + 5 = (3/2)√x + 7
(2 - 3/2)√x = 7 - 5
(1/2)√x = 2
√x = 4 et x = 16
Explication d'Alloprof
Cette explication a été donnée par un membre de l'équipe d'Alloprof.
Allo PamplemoussePacifique6473,
Merci pour ta question!
Oui! Tout est bien!
J'espère t'avoir aidé!
Lea-Kim
Suggestions en lien avec la question
Suggestion en lien avec la question
Voici ce qui a été trouvé automatiquement sur le site, en espérant que ça t’aide!