Bonjour j'ai un devoir de math où je dois répondre à une question, j'ai essayer de faire la question de deux methods différents, mais lorsque je remplace x et y dans la fonction, ça me donne pas la bonne réponse, ça me donne toujours des nombre négatifs, je sais que vois comprenez pas trop ce que je dis mais je veux dire j'ai faire le devoir de deux methods différents et j'ai eu des réponses différents et les deux me semble mauvaises lorsque je fais la vérification.
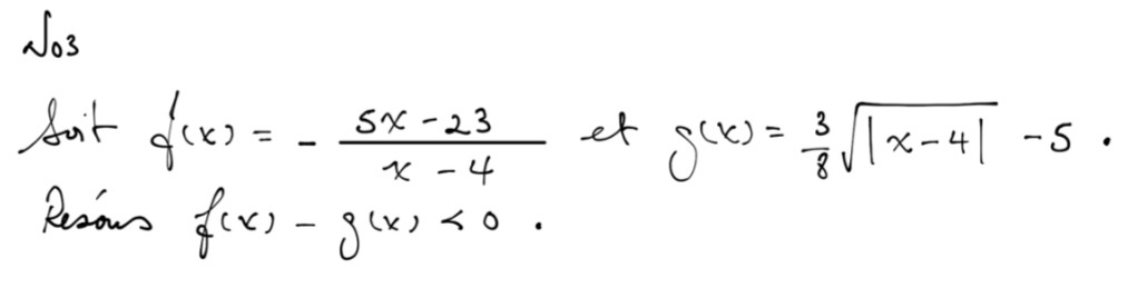
Donc Voici le problème :
Voici mes démarches:
1ere :
2eme
Donc pouvez vous me dire c'est quoi le problème dans mes démarches et lequel est mieux, Cependant j'ai pas les même réponses que mes amis, un des mes amis a eu x =8 mais ça aussi je suis pas sur si c'est bon
Aidez moi svp
Et je suis en math sn de 5
Merci



Explication vérifiée par Alloprof
Cette explication a été vérifiée par un membre de l’équipe d’Alloprof.
Cher GijuHumble la deuxième méthode est meilleure mais tu as fait une erreur dès le début.
Une restriction s'impose dès le départ: x ≠ 4 à cause du dénominateur de f(x).
Par la suite si tu multiplies l'inéquation de part et d'autre par (x - 4) pour te débarrasser du dénominateur, tu dois déjà à ce moment là considérer les deux possibilités, soit que x > 4 ou x < 4 (car dans ce dernier cas l'inégalité change de sens).
Refais tes calculs et tu devrais arriver (si je ne me suis pas trompée) à
x < 0 dans le cas où x < 4; et
x > 8 dans le cas où x > 4
Suggestions en lien avec la question
Suggestion en lien avec la question
Voici ce qui a été trouvé automatiquement sur le site, en espérant que ça t’aide!