Skip to content

Zone d’entraide

Question de l’élève

Secondaire 1 • 1a

comment traduire un chiffre décimal en notation fraction

Mathématiques
avatar
avatar

{t c="richEditor.description.title"} {t c="richEditor.description.paragraphMenu"} {t c="richEditor.description.inlineMenu"} {t c="richEditor.description.embed"}

Explications (2)

  • Explication d'Alloprof

    Explication d'Alloprof

    Cette explication a été donnée par un membre de l'équipe d'Alloprof.

    Options
    Équipe Alloprof • 1a

    Salut!


    Tu peux transformer la partie décimale d'un nombre en fraction en plaçant au numérateur cette partie décimale, et au dénominateur une puissance de 10.

    image.png

    Par exemple, le nombre 0,24 est équivalent à la fraction 24/100. Le nombre 2,184 est équivalent au nombre fractionnaire \(2\frac{184}{1000}\), que l'on peut transformer ensuite en fraction irréductible.

    Je t'invite à consulter les fiches suivantes :


    Et à revenir nous voir si tu as d'autres questions! :)

  • Options
    Secondaire 3 • 1a

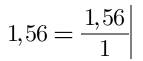
    Exemple : ton nombre est 1,56.

    Tu vas mettre ton nombre sur 1 :

    image.png

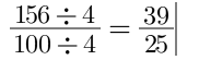
    Ensuite, tu vas multiplier le numérateur par une puissance de 10 (10, 100, 1 000...) pour éliminer la virgule : (on a déplacé la virgule à droite autant de fois que le nombre de zéros : il y a 2 zéros donc on déplace la virgule à droite de 2 positions.)

    image.png

    Ensuite, simplifier au besoin :

    image.png

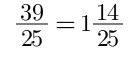
    Et si tu veux faire un nombre fractionnaire :

    image.png
    image.png

    J'espère t'avoir aidé !

Poser une question