Ce contenu est protégé par le droit d'auteur. Toute reproduction à l'extérieur des forums Alloprof est interdite et pourra être considérée comme une violation du droit d'auteur.
J'ai beaucoup de difficulté avec les taux liées surtout cette question
Ce contenu est protégé par le droit d'auteur. Toute reproduction à l'extérieur des forums Alloprof est interdite et pourra être considérée comme une violation du droit d'auteur.
Puisque l'origine est le point (0, 0), alors la distance entre un point (x, y) et l'origine est :
$$d=\sqrt{x^2+y^2}$$
Tu peux remplacer y dans cette équation par ceci :
Ce contenu est protégé par le droit d'auteur. Toute reproduction à l'extérieur des forums Alloprof est interdite et pourra être considérée comme une violation du droit d'auteur.
Ensuite, tu dois trouver le taux de variation de la distance par rapport au temps (dd/dt). Pour cela, tu dois dériver l'équation que tu auras trouvée à l'étape précédente, comme ceci :
Explication d'Alloprof
Cette explication a été donnée par un membre de l'équipe d'Alloprof.
Salut!
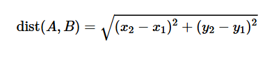
La distance entre deux points peut être trouvée à l'aide de cette formule :
Ce contenu est protégé par le droit d'auteur. Toute reproduction à l'extérieur des forums Alloprof est interdite et pourra être considérée comme une violation du droit d'auteur.
Puisque l'origine est le point (0, 0), alors la distance entre un point (x, y) et l'origine est :
$$d=\sqrt{x^2+y^2}$$
Tu peux remplacer y dans cette équation par ceci :
Ce contenu est protégé par le droit d'auteur. Toute reproduction à l'extérieur des forums Alloprof est interdite et pourra être considérée comme une violation du droit d'auteur.
Ensuite, tu dois trouver le taux de variation de la distance par rapport au temps (dd/dt). Pour cela, tu dois dériver l'équation que tu auras trouvée à l'étape précédente, comme ceci :
$$\frac{dd}{dt}=\frac{d(\text{équation précédente})}{dx} \frac{dx}{dt}$$
On nous dit que dx/dt = 5, et on cherche dd/dt lorsque x=2 (le moment où la particule passe par le point (2,8)).
Je te laisse terminer. J'espère que cela t'aide! :)
Suggestions en lien avec la question
Suggestion en lien avec la question
Voici ce qui a été trouvé automatiquement sur le site, en espérant que ça t’aide!