Skip to content

Zone d’entraide

Question de l’élève

Secondaire 5 • 1a

Bonjour,

Pourquoi les deux termes en dessous de la division se multiplient alors qu'ils se soustraient à la base?

Merci.

20241207_163249.jpg


Mathématiques
avatar
avatar

{t c="richEditor.description.title"} {t c="richEditor.description.paragraphMenu"} {t c="richEditor.description.inlineMenu"} {t c="richEditor.description.embed"}

Explications (2)

  • Explication d'Alloprof

    Explication d'Alloprof

    Cette explication a été donnée par un membre de l'équipe d'Alloprof.

    Options
    Équipe Alloprof • 1a

    Salut!


    La loi suivante a été utilisée :

    image.png


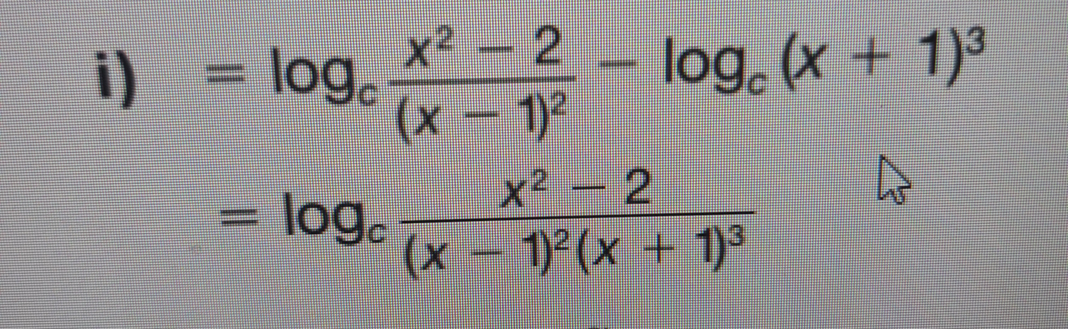
    $$=log_{c}\frac{x^2 -2}{(x-1)^2}-log_{c}(x+1)^3$$

    $$=log_{c}\frac{\frac{x^2 -2}{(x-1)^2}}{(x+1)^3}$$

    On peut ensuite simplifier cette grosse fraction, ce qui nous donne :

    $$=log_{c}\frac{x^2 -2}{(x-1)^2} \div (x+1)^3$$

    $$=log_{c}\frac{x^2 -2}{(x-1)^2} \times \frac{1}{(x+1)^3}$$

    $$=log_{c}\frac{x^2 -2}{(x-1)^2(x+1)^3}$$


    J'espère que c'est plus clair pour toi! :)

  • Options
    1a


    Dans une même base

    log A - log B = log A/Β ou encore log A · 1/Β

Poser une question