Secondaire 3 • 4a
Je ne comprend pas plus comment faire j’ai tout essayer même les notes qu’un prof m’a donner mais j’y arrive pas plus aider moi svp
Je ne comprend pas plus comment faire j’ai tout essayer même les notes qu’un prof m’a donner mais j’y arrive pas plus aider moi svp
Explication d'Alloprof
Cette explication a été donnée par un membre de l'équipe d'Alloprof.
Salut :D
Un rappel des priorités d'opérations.
Ce contenu est protégé par le droit d'auteur. Toute reproduction à l'extérieur des forums Alloprof est interdite et pourra être considérée comme une violation du droit d'auteur.
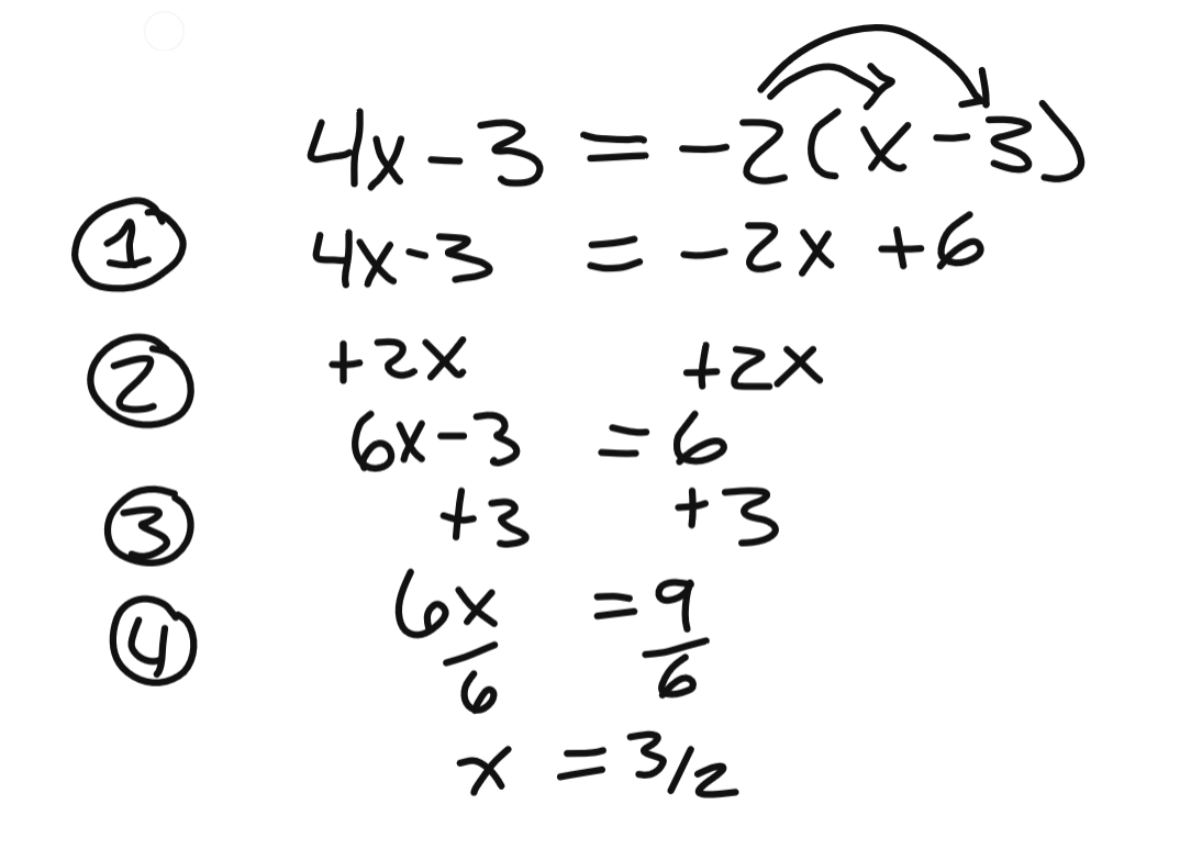
Je te fais un exemple. Prenons la lettre b).
1) Simplifier les expressions si possible.
2) Regrouper les x d'un côté de l'égalité.
3) Regrouper les nombres de l'autre côté de l'égalité.
4) Isoler x en faisant l'opération inverse. Ici, x est multiplié par 6, il faut donc faire divisé par 6 des deux côtés, car la division est l'opération inverse de la multiplication.
Dernière étape : simplifier la fraction.
Ce contenu est protégé par le droit d'auteur. Toute reproduction à l'extérieur des forums Alloprof est interdite et pourra être considérée comme une violation du droit d'auteur.
Essaie le a) et confirme ta réponse en publiant une autre question au besoin. :D
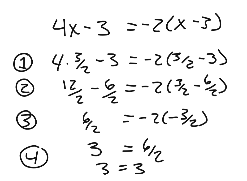
Pour procéder à la vérification, il faut prendre la valeur de x qu'on a trouvé (3/2) et l'insérer dans l'équation pour vérifier si l'égalité est respectée.
Ce contenu est protégé par le droit d'auteur. Toute reproduction à l'extérieur des forums Alloprof est interdite et pourra être considérée comme une violation du droit d'auteur.
1) Remplacer x par la valeur trouvée (ici, 3/2).
2) Mette les fractions sur le même dénominateur pour pouvoir les soustraire.
3) Soustraire les fractions.
4) Multiplier -2 par le résultat de la parenthèse.
Dernière étape, on constate que l'égalité est respectée, 3=3.
Cela veut dire qu'on a trouvé la bonne valeur de x. Si ce n'était pas égal, il faudrait recommencer. Ça voudra dire qu'on a fait une erreur dans la démarche.
Bon exercice!
À tout de suite. :) Et, bon succès! :D
Suggestions en lien avec la question
Suggestion en lien avec la question
Voici ce qui a été trouvé automatiquement sur le site, en espérant que ça t’aide!