Skip to content

Zone d’entraide

Question de l’élève

Secondaire 5 • 1a

Bonjour,

Dans cette transformation de règle de fonction rationnelle, je ne comprends pas à quoi servent les étapes surlignés ? Pourquoi ne pas garder les réponses obtenues ?

Merci.

20241216_221206.jpg


Mathématiques
avatar
avatar

{t c="richEditor.description.title"} {t c="richEditor.description.paragraphMenu"} {t c="richEditor.description.inlineMenu"} {t c="richEditor.description.embed"}

Explications (2)

  • Options
    1a


    Est-ce spécifié dans la question qu'on veut une forme particulière?

    Sinon j'aurais répondu (après simplification)

    1.5 - 7/(2x + 5)

  • Explication d'Alloprof

    Explication d'Alloprof

    Cette explication a été donnée par un membre de l'équipe d'Alloprof.

    Options
    Équipe Alloprof • 1a

    Salut!


    Tout d'abord, cette division :

    image.png

    Nous permet d'avoir le résultat suivant :

    $$\frac{-14}{4x+10}+1,5$$


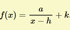
    On veut avoir la forme canonique de l'équation de la fonction rationnelle, donc :

    image.png


    Notre équation \(\frac{-14}{4x+10}+1,5\) n'a pas cette forme, car on ne doit pas avoir de coefficient devant la variable x. Ainsi, on peut factoriser ce coefficient :

    $$\frac{-14}{4(x+\frac{10}{4})}+1,5$$

    $$\frac{-14}{4(x+2,5)}+1,5$$

    Ce qui nous permet d'obtenir la forme canonique à 4 paramètres de la fonction (a, b, h et k).


    Si on veut la forme à 3 paramètres (a, h et k) :

    image.png

    Alors on peut diviser les facteurs -14 et 4 :

    $$\frac{-3,5}{(x+2,5)}+1,5$$


    Voilà! J'espère que c'est plus clair pour toi! :)

Poser une question