Secondaire 4 • 4a
Bonjour, j’aimerais comprendre la formule de héron en profondeur, à sa source, c’est-à-dire pourquoi est-ce que c’est le demi-périmètre et ect. Merci 😅🙂
Bonjour, j’aimerais comprendre la formule de héron en profondeur, à sa source, c’est-à-dire pourquoi est-ce que c’est le demi-périmètre et ect. Merci 😅🙂
Saumon,
J'ai fait une recherche sur Google et trouvé deux vidéos de Khan Academy où la preuve est expliquée en détails:
https://www.youtube.com/watch?v=nFL8s4u2Ic8
https://www.youtube.com/watch?v=OH6bnSyIHMg
Explication d'Alloprof
Cette explication a été donnée par un membre de l'équipe d'Alloprof.
Salut !
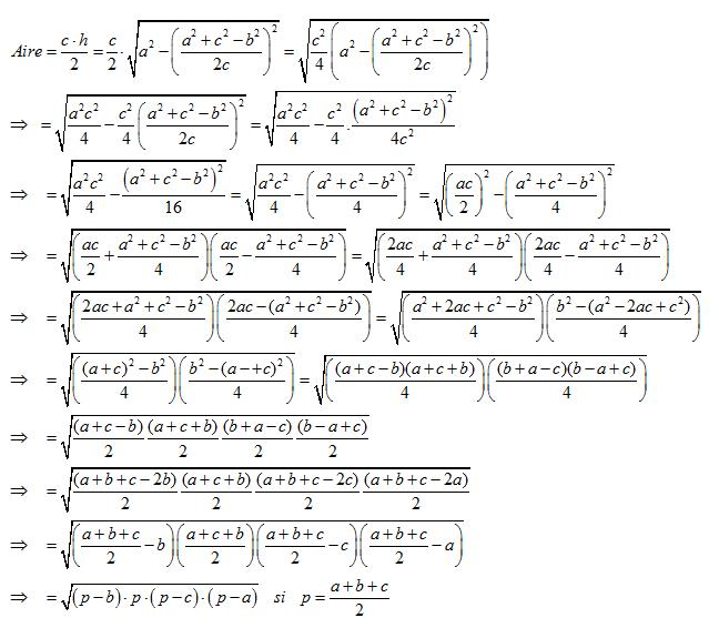
Comme pour toute formule, l'origine provient soit de mesures expérimentale ou de manipulation algébrique !
Pour comprendre ce genre de formule, il te faut plus de connaissance en trigonométrie ou connaître le théorème de Pythagore. Mais pour te faire plaisir, voilà la démonstration que tu cherches !
Ce contenu est protégé par le droit d'auteur. Toute reproduction à l'extérieur des forums Alloprof est interdite et pourra être considérée comme une violation du droit d'auteur.
Si tu as d'autres questions, n'hésite pas !
Suggestions en lien avec la question
Suggestion en lien avec la question
Voici ce qui a été trouvé automatiquement sur le site, en espérant que ça t’aide!