Secondaire 3 • 4a
Bonjour. je n'arrive pas a comprendre comment trouver la racine cubique d'un nombre et a réduire les fractions avec un exposant fractionnaire négatif.
Bonjour. je n'arrive pas a comprendre comment trouver la racine cubique d'un nombre et a réduire les fractions avec un exposant fractionnaire négatif.
Explication d'Alloprof
Cette explication a été donnée par un membre de l'équipe d'Alloprof.
Salut!
La racine cubique d'un nombre se trouve en se posant la question suivante : quel nombre multiplié 3 fois par lui-même donne ce nombre?
Par exemple, pour trouver la racine carrée de 64, il faut se demander : quel nombre multiplié 3 fois par lui même donne 64? La réponse est 4, car 4 × 4 × 4 = 64, ou encore 4³ = 64.
Voici une fiche sur cette notion : https://www.alloprof.qc.ca/fr/eleves/bv/mathematiques/les-racines-carrees-et-cubiques-m1035
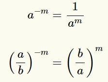
Un nombre ayant un exposant négatif signifie que l'on recherche l'inverse de ce nombre affecté d'un exposant positif.
Ce contenu est protégé par le droit d'auteur. Toute reproduction à l'extérieur des forums Alloprof est interdite et pourra être considérée comme une violation du droit d'auteur.
Voici des exemples :
$$ 4^{-1} = \frac{1}{4} $$
$$ 4^{-21} = \frac{1}{4^{21}} $$
$$ \frac{1}{4^{-2}} = 4^{2} $$
$$ \frac{6}{5^{-2}} = 6•5^2 $$
$$ (\frac{3}{4})^{-2} = (\frac{4}{3})^2 $$
Un exposant fractionnaire se traduit en une racine.
Ce contenu est protégé par le droit d'auteur. Toute reproduction à l'extérieur des forums Alloprof est interdite et pourra être considérée comme une violation du droit d'auteur.
Le dénominateur dans l'exposant représente l'indice de la racine (le nombre à gauche de la racine).
Par exemple, si le dénominateur est 2, alors il s'agit d'une racine carrée, si le dénominateur est 3, alors il s'agit d'une racine cubique, si le dénominateur est 4, alors il s'agit d'une racine quatrième, etc.
Le numérateur de l'exposant représente quant à lui l'exposant du radicande, c'est-à-dire l'exposant du nombre sous la racine.
Voici un exemple :
$$ 16^{\frac{6}{5}} = \sqrt[5]{16^6} $$
Voici une fiche sur cette notion : https://www.alloprof.qc.ca/fr/eleves/bv/mathematiques/les-lois-des-exposants-m1044
N'hésite pas si tu as d'autres questions :)
Suggestions en lien avec la question
Suggestion en lien avec la question
Voici ce qui a été trouvé automatiquement sur le site, en espérant que ça t’aide!