Postsecondaire • 9m
Bonjour! Ma question porte sur le même sujet que tout à l'heure, soit ln|C√(x^2+y^2 )|=arctan(y/x ).
Mercii beaucoup GalaxieLambda6093 pour ta réponse! Cela me dépanne vraiment. Cependant, en ce qui concerne l'identité que tu as trouvé, elle semble provenir de l'identité avec les fonctions hyperboliques! Si c'est bien le cas, j'en comprends qu'on peut "égaler" tanh et tan, mais pourquoi? Est-ce qu'on peut les qualifier d'homologue? Y'a t'il un terme précis pour nommer cette "substitution"?
Par ailleurs, j'aimerais bien une petite twist sur la fin de la solution! J'ai mis un dénominateur commun et j'ai tenté de former des petits groupes pour mettre y en évidence, sans succès. Nous n'avons encore jamais travailler avec autant de variables.
Explication d'Alloprof
Cette explication a été donnée par un membre de l'équipe d'Alloprof.
Bonjour SaumonArtistique4026! 😊
Ça me fait plaisir ! En fait, il existe une relation directe entre la tangente et la fonction exponentielle. (En relisant ma solution, j’ai réalisé que j’avais glissé une petite coquille, alors je vais la corriger tout de suite ! 😅)
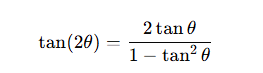
La bonne identité à utiliser est :
Ce contenu est protégé par le droit d'auteur. Toute reproduction à l'extérieur des forums Alloprof est interdite et pourra être considérée comme une violation du droit d'auteur.
Celle-ci vient du lien entre l’exponentielle et la double tangente. En utilisant :
Ce contenu est protégé par le droit d'auteur. Toute reproduction à l'extérieur des forums Alloprof est interdite et pourra être considérée comme une violation du droit d'auteur.
avec θ=arctan(y/x), on obtient :
Ce contenu est protégé par le droit d'auteur. Toute reproduction à l'extérieur des forums Alloprof est interdite et pourra être considérée comme une violation du droit d'auteur.
Ce qui nous permet d’écrire :
Ce contenu est protégé par le droit d'auteur. Toute reproduction à l'extérieur des forums Alloprof est interdite et pourra être considérée comme une violation du droit d'auteur.
On peut donc simplifier en mettant le tout sur le même dénominateur !
Il n’existe pas de "twist" magique rendu là… Cependant, une astuce qui peut rendre l’équation plus facile à lire est d’utiliser une substitution.
On remarque que y/x se répète souvent, ce qui complique un peu l’écriture. Pourquoi ne pas lui donner un autre nom ?
J'espère que ma réponse t'a aidé!
C'est un calcul difficile mais il ne faut pas lâcher! 😊
Suggestions en lien avec la question
Suggestion en lien avec la question
Voici ce qui a été trouvé automatiquement sur le site, en espérant que ça t’aide!