Primaire 5 • 4a
Bonjour,
Je me demandais si vous pourriez répondre à ma question.
Lorsqu'on fait une division et qu'il y a un reste est-ce qu'on doit ajouter le reste au quotient ?
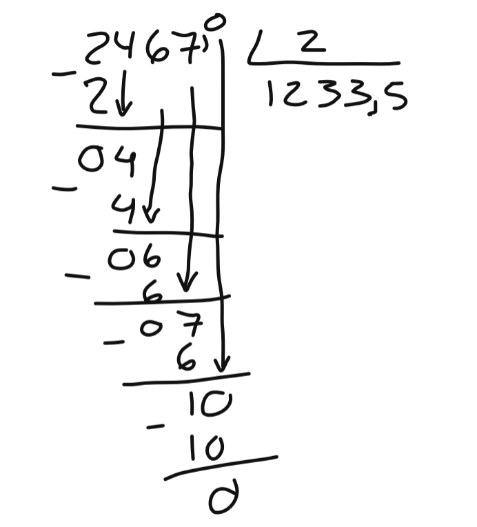
Par exemple, 2467:2 qui égale à 1233 est-ce que on doit ajouter le reste qui est 1 au quotient : 1233,1 ou est-ce qu'on ne doit pas l'ajouter ?
Merci et bonne journée !
il vos savoir si on l'arrondir ou pas
Explication d'Alloprof
Cette explication a été donnée par un membre de l'équipe d'Alloprof.
Salut :D
On doit l'ajouter.
Ce contenu est protégé par le droit d'auteur. Toute reproduction à l'extérieur des forums Alloprof est interdite et pourra être considérée comme une violation du droit d'auteur.
Lorsqu'il reste 1 à la fin de la division, c'est que la dernière unité ne se divise pas par deux, elle reste donc 1/2. On ajoute alors une demie (1/2) au total de la division. 1, parce qu'il reste 1 à diviser et 2, car on divise par 2.
Si on avait continué la division, tu aurais constaté que ça aurait donné 0,5 de plus, non 0,1 (comme mentionné dans ta question). 0,5 = 1/2, ce qui reste logique.
Ce contenu est protégé par le droit d'auteur. Toute reproduction à l'extérieur des forums Alloprof est interdite et pourra être considérée comme une violation du droit d'auteur.
J'espère que cette démonstration aura pu t'aider à comprendre le reste en multiplication.
Si tu as besoin d'autres explications, c'est ici.
Bon après-midi :D À bientôt :)
Suggestions en lien avec la question
Suggestion en lien avec la question
Voici ce qui a été trouvé automatiquement sur le site, en espérant que ça t’aide!