Secondaire 3 • 4a
Bonjour je ne comprend pas les fractions négatives avec des exposants pouvez vous m'aidez svp
Bonjour je ne comprend pas les fractions négatives avec des exposants pouvez vous m'aidez svp
Explication d'Alloprof
Cette explication a été donnée par un membre de l'équipe d'Alloprof.
Bonjour à toi!
Merci de faire appel à nos services :D
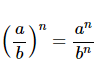
Lorsque tu as une fraction avec des exposants, les exposants s'appliquent ainsi sur la fraction:
Ce contenu est protégé par le droit d'auteur. Toute reproduction à l'extérieur des forums Alloprof est interdite et pourra être considérée comme une violation du droit d'auteur.
Pour savoir quoi faire lorsque la fraction est négative, je t'invite à observer attentivement les exemples suivants:
Ce contenu est protégé par le droit d'auteur. Toute reproduction à l'extérieur des forums Alloprof est interdite et pourra être considérée comme une violation du droit d'auteur.
Lorsque le - est à l'extérieur de la parenthèse, cela veut dire que l'exposant s'applique normalement. Si le - est à l'intérieur de la parenthèse, cela complique un peu les choses! On va, par convention, décider que le moins s'applique seulement sur le numérateur, c'est-à -dire, le nombre au-dessus de la fraction. Par la suite, si l'exposant est un nombre pair, alors le - va disparaitre. Si l'exposant est un nombre impair, alors le - va rester. Mais pourquoi donc? Il est nécessaire de décortiquer!
Ainsi, (-2) à la 2 va donner 4, parce que c'est équivalent à -2 x -2. Et nous savons qu'une multiplication de deux négatifs donne un positif!
D'un autre côté, (-2) à la 3 va donner -2 x -2 x -2. Ainsi, les deux premiers négatifs s'annulent, mais il reste un négatif! Ainsi, le résultat sera négatif.
J'espère que c'est plus clair pour toi! Je t'invite à visiter notre fiche en ligne juste ici:
N'hésite pas si tu as d'autres questions, ce sera un réel plaisir pour moi de te répondre :D
Élizabeth
Suggestions en lien avec la question
Suggestion en lien avec la question
Voici ce qui a été trouvé automatiquement sur le site, en espérant que ça t’aide!