Skip to content

Zone d’entraide

Question de l’élève

Postsecondaire • 4a
Sans titre.png

Bonjour, je dois résoudre cette équation et je n'y arrive pas du tout! Quelqu'un peut m'aider ? Je suis de l'université en complément de mathématique.

Mathématiques
avatar
avatar

{t c="richEditor.description.title"} {t c="richEditor.description.paragraphMenu"} {t c="richEditor.description.inlineMenu"} {t c="richEditor.description.embed"}

Explications (2)

  • Explication d'Alloprof

    Explication d'Alloprof

    Cette explication a été donnée par un membre de l'équipe d'Alloprof.

    Options
    Équipe Alloprof • 4a

    Salut :D

    Je commence la démarche avec toi.

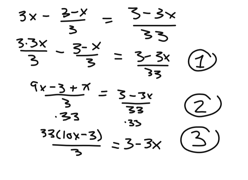
    image.png

    Étape 1 : mettre les fractions sur le même dénominateur.

    On fait comme avec les nombres réguliers (on multiplie en haut et en bas par 3). Ce qui donne (3*3x) /3.

    Étape 2 : on procède à la soustraction de fraction.

    Faits attention aux signes (--), on soustrait, - (-x), ce qui donne + x. On peut simplifier à 10x -3.

    Étape 3 : on multiplie les deux côtés de l'équation par 33 pour annuler la division (on prend le plus grands des deux dénominateurs).

    Je te laisse poursuivre la démarche. Simplifie d'abord le 33/3=11(10x-3) et distribue ensuite le 11 sur le 10x et le -3 lors de la multiplication du binôme. Finalement, l'isolation de la variable x se fera facilement.

    Bonne résolution. :) Confirme ta solution au besoin! :D À tout de suite. :)

  • Options
    4a October 2021 modifié

    bonjour,

    Mets le 3-x entre parenthèses comme ceci: (3-x). C'est important car la fraction est précédée du signe – et c'est souvent là que l'erreur se produit.

    Mets toutes les fractions au même dénominateur.

    On peut maintenant chasser les dénominateurs (c'est comme multiplier l'équation par le dénominateur commun)

    Résous l'équation obtenue avec les numérateurs.

    Réécris-nous en incluant une photo de ta démarche si tu n'y arrives toujours pas.


    Alain

Poser une question