Ce contenu est protégé par le droit d'auteur. Toute reproduction à l'extérieur des forums Alloprof est interdite et pourra être considérée comme une violation du droit d'auteur.
Ce contenu est protégé par le droit d'auteur. Toute reproduction à l'extérieur des forums Alloprof est interdite et pourra être considérée comme une violation du droit d'auteur.
On peut écrire :
$$ \frac{2}{2625}\times5^x = (3^2)^x $$
$$ \frac{2}{2625}\times5^x = 9^x $$
Puisqu'on veut avoir la variable x d'un côté de l'équation et les constantes de l'autre, on va déplacer 5^x de l'autre côté :
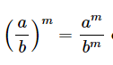
$$ \frac{2}{2625} = \frac{9^x}{5^x} $$
Ensuite, on peut utiliser la loi suivante :
Ce contenu est protégé par le droit d'auteur. Toute reproduction à l'extérieur des forums Alloprof est interdite et pourra être considérée comme une violation du droit d'auteur.
$$ \frac{2}{2625} = (\frac{9}{5})^x $$
Finalement, il faudra transformer l'expression sous forme exponentielle en forme logarithmique :
Voici un petit rappel :
Ce contenu est protégé par le droit d'auteur. Toute reproduction à l'extérieur des forums Alloprof est interdite et pourra être considérée comme une violation du droit d'auteur.
On aura donc alors :
$$ x = log_{\frac{9}{5}}\frac{2}{2625} ≈ -12,21 $$
Voilà! Voici une fiche sur les lois des exposants, et une autre sur les logarithmes :
Explication d'Alloprof
Cette explication a été donnée par un membre de l'équipe d'Alloprof.
Salut!
On a :
$$ 2\times5^{(x-3)} = 7\times3^{(2x+1)} $$
En utilisant la loi des exposants suivante :
Ce contenu est protégé par le droit d'auteur. Toute reproduction à l'extérieur des forums Alloprof est interdite et pourra être considérée comme une violation du droit d'auteur.
On peut écrire :
$$ 2\times5^x\times 5^{-3} = 7\times3^{2x}\times3^1 $$
Puis simplifier :
$$ \frac{2}{5^3}\times5^x = 7\times3^{2x}\times3 $$
$$ \frac{2}{5^3}\times5^x = 21\times3^{2x} $$
$$ \frac{2}{125}\times5^x = 21\times3^{2x} $$
$$ \frac{2}{125}\times5^x\times \frac{1}{21} = 3^{2x} $$
$$ \frac{2}{2625}\times5^x = 3^{2x} $$
Puis, à l'aide de la loi suivante :
Ce contenu est protégé par le droit d'auteur. Toute reproduction à l'extérieur des forums Alloprof est interdite et pourra être considérée comme une violation du droit d'auteur.
On peut écrire :
$$ \frac{2}{2625}\times5^x = (3^2)^x $$
$$ \frac{2}{2625}\times5^x = 9^x $$
Puisqu'on veut avoir la variable x d'un côté de l'équation et les constantes de l'autre, on va déplacer 5^x de l'autre côté :
$$ \frac{2}{2625} = \frac{9^x}{5^x} $$
Ensuite, on peut utiliser la loi suivante :
Ce contenu est protégé par le droit d'auteur. Toute reproduction à l'extérieur des forums Alloprof est interdite et pourra être considérée comme une violation du droit d'auteur.
$$ \frac{2}{2625} = (\frac{9}{5})^x $$
Finalement, il faudra transformer l'expression sous forme exponentielle en forme logarithmique :
Voici un petit rappel :
Ce contenu est protégé par le droit d'auteur. Toute reproduction à l'extérieur des forums Alloprof est interdite et pourra être considérée comme une violation du droit d'auteur.
On aura donc alors :
$$ x = log_{\frac{9}{5}}\frac{2}{2625} ≈ -12,21 $$
Voilà! Voici une fiche sur les lois des exposants, et une autre sur les logarithmes :
N'hésite pas si tu as d'autres questions :)
Suggestions en lien avec la question
Suggestion en lien avec la question
Voici ce qui a été trouvé automatiquement sur le site, en espérant que ça t’aide!