Secondaire 5 • 4a
Bonjour je n'arrive pas à trouver l'écart type corrigé échantillon svp merci de m'aider
Bonjour je n'arrive pas à trouver l'écart type corrigé échantillon svp merci de m'aider
bonjour,
Ce contenu est protégé par le droit d'auteur. Toute reproduction à l'extérieur des forums Alloprof est interdite et pourra être considérée comme une violation du droit d'auteur.
Explication d'Alloprof
Cette explication a été donnée par un membre de l'équipe d'Alloprof.
Bonjour DimorphodonAdorable,
Merci pour ta question!
Pour calculer un écart type, il te faudra d'abord calculer la variance de ta distribution de données. La démarche précise est présentée juste ici:
Ensuite, tu pourras calculer l'écart type, qui est simplement la racine carrée de la variance.
Voici la démarche que je te propose:
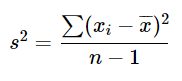
1) Dans ton cas, la distribution de données est un échantillon. Il faudra donc utiliser la bonne formule et les bons symboles:
Ce contenu est protégé par le droit d'auteur. Toute reproduction à l'extérieur des forums Alloprof est interdite et pourra être considérée comme une violation du droit d'auteur.
2) Calculer la moyenne de la distribution de données.
3) Calculer la somme des carrés des écarts à la moyenne. Voici un exemple sous forme de tableau:
Ce contenu est protégé par le droit d'auteur. Toute reproduction à l'extérieur des forums Alloprof est interdite et pourra être considérée comme une violation du droit d'auteur.
Dans ton cas, au lieu de répéter un certain nombre de fois chaque donnée, tu n'as qu'à multiplier chacune d'entre elle par sa fréquence. Ainsi, chaque rangée du tableau devrait correspondre à une valeur différente, dont le carré de l'écart à la moyenne sera multiplié par la fréquence.
4) Appliquer cette formule:
Ce contenu est protégé par le droit d'auteur. Toute reproduction à l'extérieur des forums Alloprof est interdite et pourra être considérée comme une violation du droit d'auteur.
Tout le numérateur:
Ce contenu est protégé par le droit d'auteur. Toute reproduction à l'extérieur des forums Alloprof est interdite et pourra être considérée comme une violation du droit d'auteur.
sera remplacé par la somme trouvée dans ton tableau.
5) L'écart type correspond à la racine carrée de la variance trouvée à l'étape 4!
N'hésite pas si tu as d'autres questions:)
Kylan
Suggestions en lien avec la question
Suggestion en lien avec la question
Voici ce qui a été trouvé automatiquement sur le site, en espérant que ça t’aide!