Ce contenu est protégé par le droit d'auteur. Toute reproduction à l'extérieur des forums Alloprof est interdite et pourra être considérée comme une violation du droit d'auteur.
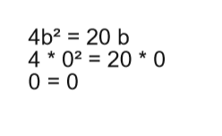
La première méthode est valide dans le sens où tu trouves une bonne valeur de b. Cependant, la deuxième est plus fiable, car elle détermine toutes les valeurs possibles de b.
La preuve : on n'obtient pas 0 avec la première méthode.
Pourtant, cette valeur est vraie pour l'équation.
Ce contenu est protégé par le droit d'auteur. Toute reproduction à l'extérieur des forums Alloprof est interdite et pourra être considérée comme une violation du droit d'auteur.
Bien que souvent, la première façon suffise, dans certains cas, la deuxième sera nécessaire.
J'espère que ça répond bien à ta question :D À bientôt :) Passe une belle fin de soirée :D
0
Suggestions en lien avec la question
Suggestion en lien avec la question
Voici ce qui a été trouvé automatiquement sur le site, en espérant que ça t’aide!
bonjour,
Dans la première méthode, on divise par b.
Or cette division est possible seulement si b est différent de 0.
Cette méthode ne donne pas toutes les solutions car on n'a pas étudié le cas où b=0.
Explication d'Alloprof
Cette explication a été donnée par un membre de l'équipe d'Alloprof.
Salut :D
La première méthode est valide dans le sens où tu trouves une bonne valeur de b. Cependant, la deuxième est plus fiable, car elle détermine toutes les valeurs possibles de b.
La preuve : on n'obtient pas 0 avec la première méthode.
Pourtant, cette valeur est vraie pour l'équation.
Ce contenu est protégé par le droit d'auteur. Toute reproduction à l'extérieur des forums Alloprof est interdite et pourra être considérée comme une violation du droit d'auteur.
Bien que souvent, la première façon suffise, dans certains cas, la deuxième sera nécessaire.
J'espère que ça répond bien à ta question :D À bientôt :) Passe une belle fin de soirée :D
Suggestions en lien avec la question
Suggestion en lien avec la question
Voici ce qui a été trouvé automatiquement sur le site, en espérant que ça t’aide!