Ce contenu est protégé par le droit d'auteur. Toute reproduction à l'extérieur des forums Alloprof est interdite et pourra être considérée comme une violation du droit d'auteur.
Chaque niveau possède son trapèze. On sait que le trapèze pour les experts en bleu (ABFE) occupe 1/7 de l'aire totale.
Ce contenu est protégé par le droit d'auteur. Toute reproduction à l'extérieur des forums Alloprof est interdite et pourra être considérée comme une violation du droit d'auteur.
Donc, aire ABFE = 1/7 × aire ABCD
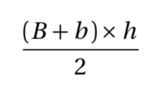
On est donc en mesure de trouver l'aire du trapèze total ABCD en trouvant l'aire du trapèze ABFE à l'aide des mesures déjà fournies et de la règle d'aire d'un trapèze, soit :
Ce contenu est protégé par le droit d'auteur. Toute reproduction à l'extérieur des forums Alloprof est interdite et pourra être considérée comme une violation du droit d'auteur.
On cherche la portion occupée de la surface totale par le trapèze pour les intermédiaires. Il faudra donc d'abord trouver l'aire du trapèze EFHG, puis calculer le rapport :
bonjour Katia,
Sur quoi se base-t-on pour dire que les trapèzes sont semblables ?
certainement pas sur la figure !
Explication d'Alloprof
Cette explication a été donnée par un membre de l'équipe d'Alloprof.
Salut!
Chaque niveau possède son trapèze. On sait que le trapèze pour les experts en bleu (ABFE) occupe 1/7 de l'aire totale.
Ce contenu est protégé par le droit d'auteur. Toute reproduction à l'extérieur des forums Alloprof est interdite et pourra être considérée comme une violation du droit d'auteur.
Donc, aire ABFE = 1/7 × aire ABCD
On est donc en mesure de trouver l'aire du trapèze total ABCD en trouvant l'aire du trapèze ABFE à l'aide des mesures déjà fournies et de la règle d'aire d'un trapèze, soit :
Ce contenu est protégé par le droit d'auteur. Toute reproduction à l'extérieur des forums Alloprof est interdite et pourra être considérée comme une violation du droit d'auteur.
On cherche la portion occupée de la surface totale par le trapèze pour les intermédiaires. Il faudra donc d'abord trouver l'aire du trapèze EFHG, puis calculer le rapport :
$$ \frac {Aire_{EFHG}}{Aire_{ABCD}}$$
Petit indice, tu peux utiliser la notion de figures semblables, dont tu trouveras plus d'informations sur la fiche suivante : https://www.alloprof.qc.ca/fr/eleves/bv/mathematiques/les-figures-semblables-isometriques-et-equivale-m1262
À toi de jouer maintenant! :)
Suggestions en lien avec la question
Suggestion en lien avec la question
Voici ce qui a été trouvé automatiquement sur le site, en espérant que ça t’aide!