Skip to content

Zone d’entraide

Question de l’élève

Secondaire 4 • 3a
B52125E2-96B3-4238-8AA8-FAD22E9A6300.jpeg

Bonjour! je voulais comprendre comment cette conclusion est possible, merci! c’est la réponse d’une factorisation produit somme.

Mathématiques
avatar
avatar

{t c="richEditor.description.title"} {t c="richEditor.description.paragraphMenu"} {t c="richEditor.description.inlineMenu"} {t c="richEditor.description.embed"}

Explications (1)

  • Explication d'Alloprof

    Explication d'Alloprof

    Cette explication a été donnée par un membre de l'équipe d'Alloprof.

    Options
    Équipe Alloprof • 3a

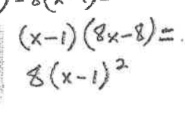
    Salut ScorpionAutonome5896,

    Merci pour ta question!

    Tu peux factoriser le 8 dans le terme (8x-8), tu arrives alors à ceci:

    $$(x-1)*8(x-1)$$

    Si on utilise une des propriétés de la multiplication, l'associativité, c'est-à-dire que le résultat est le même peu importe l'ordre des calculs, on peut écrire le résultat précédent comme ceci:

    $$8(x-1)(x-1)$$

    Tu n'as plus qu'à mettre (x-1)^2 pour obtenir une réponse simplifiée!

    Voici une fiche qui peut t'intéresser si tu veux en savoir plus:

    J'espère que ça t'aide et n'hésite pas à nous réécrire si tu as d'autres questions!

    Anthony B.

Poser une question