Skip to content

Zone d’entraide

Question de l’élève

Secondaire 5 • 4a

Bonjour

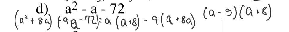
J'ai fais produit somme pour faire la factorisation cependant, il y'a une méthode plus facile que je me rappelle plus son nom, pouvez-vous me la dire c'est laquelle?

image.png


Mathématiques
avatar
avatar

{t c="richEditor.description.title"} {t c="richEditor.description.paragraphMenu"} {t c="richEditor.description.inlineMenu"} {t c="richEditor.description.embed"}

Explications (1)

  • Explication vérifiée par Alloprof

    Explication vérifiée par Alloprof

    Cette explication a été vérifiée par un membre de l’équipe d’Alloprof.

    Options
    4a

    Bonjour YakKappa

    Merci de ta question !

    hmmm, il y a plusieurs méthodes de factorisations et la facilité pour chacune d'elle varie d'un individu à l'autre.

    Je te joins ici notre fiche Alloprof qui contient toutes les 7 méthodes de factorisations possible vus au secondaire :)

    Je t'invite à les regarder pour y retrouver celle dont tu parlais

    N'hésite pas si tu as d'autres questions !

    VC

Poser une question